Dubbelintegral med hjälp av nivåkurvor
Hej! Nedan är en uppgift som jag har fastnat på!
Min matematiska intuition säger mig att man bör använda sig av formeln:

Där A'(u) är arean i termer av u och
I detta fallet skulle jag hävda att:
Det är inte första gången jag löser sådana uppgifter, jag har löst flera stycken förut, problemet i denna är väl mer eller mindre att vi har en konstig area, samt att jag inte är säker på hur jag ska uttrycka h(u)? Min ide är att dela upp figuren i två delar, ett parallellogram och en triangel varav beräkna arean med hjälp av att ta reda på skärningspunkter och med dessa bilda vektorer och hädan efter genom kryssprodukten beräkna arean (triangeln). För parallellogrammet tänkte jag göra ett variabelbyte och fick ett numeriskt svar, vilket även syns nere i en bild. 



All hjälp är mycket uppskattad, tack på förhand!
Jag skulle rekommendera variabelbyte:
Sätt och . Det medför att u och v varierar mellan konstanta gränser.
Det innebär:
Kan du gå vidare på egen hand?
dr_lund skrev:Jag skulle rekommendera variabelbyte:
Sätt och . Det medför att u och v varierar mellan konstanta gränser.
Det innebär:
Kan du gå vidare på egen hand?
Vad fiffigt samband!
Såhär långt kommer jag efter att försökt ha vridit och vänt på frågan med hjälp av ditt tips. Jag har lite problem med Jacobianten som jag försöker lösa ut i termer av u och v, inte exakt säker på vilket sätt man bör tänka där..?

Sedär du är på god väg.
Få se om jag hinner svara mer utförligt under kvällen. Har du tagit beloppet av funktionaldeterminanten?
dr_lund skrev:Sedär du är på god väg.
Få se om jag hinner svara mer utförligt under kvällen. Har du tagit beloppet av funktionaldeterminanten?
Verkar som om jag missade det i förra meddelandet. Tyvärr verkar något inte stå rätt till i vilket fall som helst, möjligtvis beror det på mitt vis att uttrycka determinanten i termer av u och v..
Jag tror också du missade när du kvadrerade (2+4u).
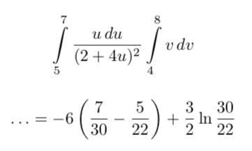
Jag landade hur som helst i

med förbehåll för fel. u-integralen löste jag med partiell integration. (jag integrerade osv.)
Är vi någorlunda överens?
dr_lund skrev:Jag tror också du missade när du kvadrerade (2+4u).
Jag landade hur som helst i
med förbehåll för fel. u-integralen löste jag med partiell integration. (jag integrerade osv.)
Är vi någorlunda överens?
Rackans! Ja, det är vi, jag gjorde som du påpekade fel vid kvadraten.
Ditt svar är rätt! Tack för hjälpen, betyder jättemycket!