4
svar
100
visningar
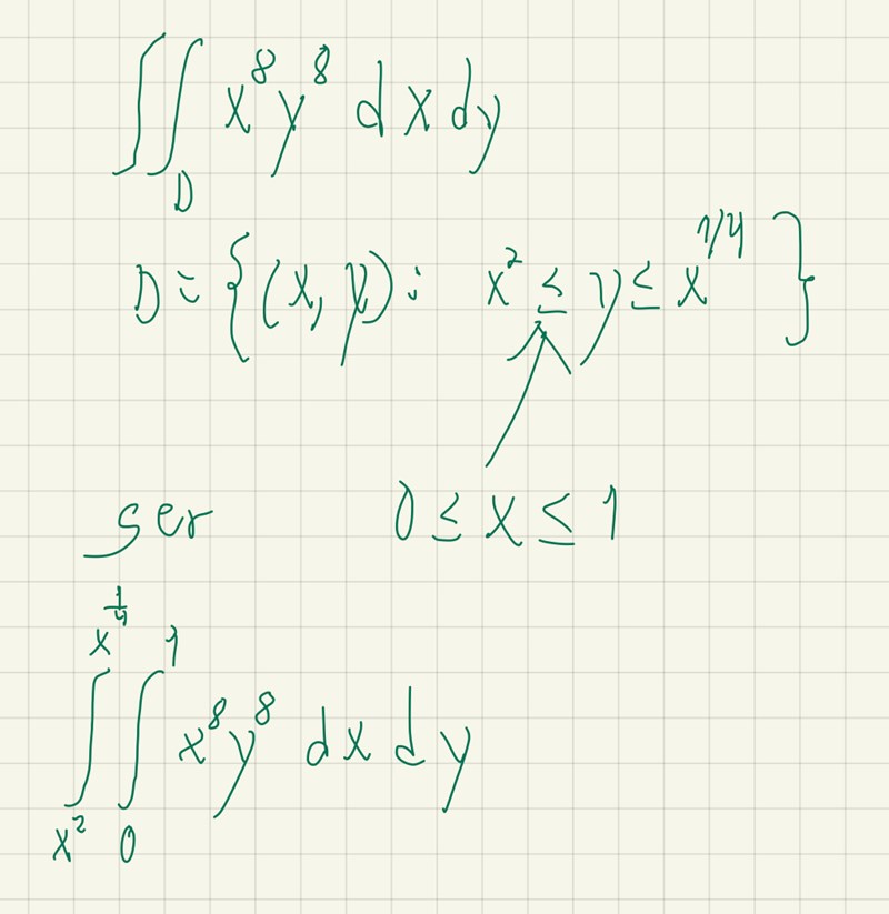
Dubbelintegral med variabel som gränser
Det här blir ju lite knasigt, hur ska jag göra?
Börja med att rita upp området D.
Smaragdalena skrev:Börja med att rita upp området D.

Du har gränserna i fel ordning igen. Eftersom du får gränserna till y gratis är det y du vill integrera först. Så byt till dy innerst och börja räkna.
Hej,
Dubbelintegralen beräknas som två stycken itererade enkelintegraler.
.