2
svar
88
visningar
Avokado12345 behöver inte mer hjälp
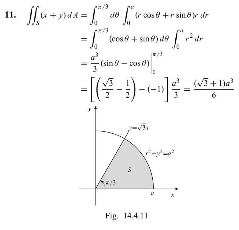
Dubbelintegral med variabelbyte

Hur vet man att vinkeln pi/3 bildas för y = roten ur 3 gånger x?
Insåg det, tack!