Dubbelintegral och Fubinis sats


Två frågor:
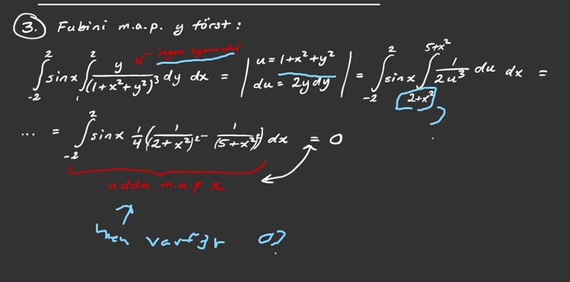
1. Hur kan de bara ändra övre och undre gräns så där? Både när man byter ut delta med den kartesiska produkten och när man gör variabelbyte.
2. Hur kan de se om funktionen är symmetrisk eller inte? Samma gäller om den är udda? Även om jag vet att det är symmetrisk eller udda hur ska man dra slutsatsen att integranden blir 0?
Delta går från x = -2 till x = 2 och från y = 1 till y = 2. Vad är det som ändras?
Om g(-x) = g(x) så är funktionen udda. Ser du att den är det?
Då tas varje bidrag till integralen ut av ett lika stort bidrag på andra sidan origo men med omvänt tecken.
Fattar fortfarande inte hur vi fick 2+x^2 och 5+x^2
När y = 1 så är u = 2+x2. Motsvarande för y = 2.
Ahh, det var ju sant. Men det med bidragen om var sida om origo. Båda är ju fortfarande ovanför x-axeln så då borde de väl adderas och därmed bli dubbel så stor... idk.
Vad är det som är ovanför x-axeln? För negativa x är funktionsvärdet negativt.
Men hur kan man se om det är symmetriskt eller inte?
Jag har också märkt i att nästan alla substitutioner så blir är det oftast du=2xdx eller du=2ydy, liksom varför alltid 2?
Ah nej vänta liksom vi går från x=-2 fram till x=2 och eftersom vi har kvadrater så är (-x)2=x2 och sin(-x)=-sin(x) så om vi har ett negativt värde (-x) d.v.s -2 så får vi en negativ volym. Då får vi en negativ volym adderat med en lika stor fast positiv volym och därför får vi noll.
Okej vänta g(x)=g(-x) för att vara udda, ahh och vi hade först f men sen får vi g efter integrering.
Vad det gäller symmetrin säger de att det inte är någon symmetri. Är det ty övre gräns och undre gräns inte är likadana eller för att själva funktionen inte är symmetrisk (vilket känns mycket svårt att veta)?