1 svar
102 visningar
Mattehejsan 62
Postad: 11 mar 2023 15:48

Dubbelintegral över disk

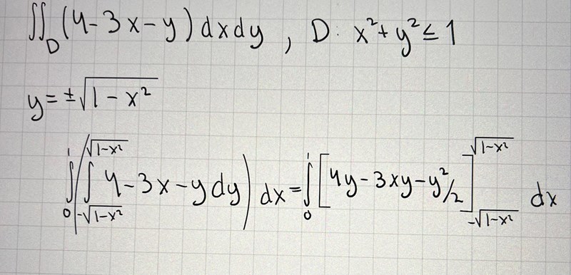
Har hållit på med denna ett tag men då det snabbt blir väldigt mycket tänker jag att det är något jag missar. Finns det kanske någon symmetri man kan använda eller något knep för att beräkningarna inte ska bli så långa?

D4NIEL Online 3407
Postad: 12 mar 2023 13:07 Redigerad: 12 mar 2023 13:08

Ja, av symmetriskäl blir bidragen av x (som är en udda funktion över y-axeln) och y (som är udda över x-axeln) noll. Alltså

D(4-3x-y)dxdy=D4dxdy=4·Area(D)=4π\iint_{D} (4-3x-y)\,dxdy=\iint_D4\,dxdy= 4\cdot \mathrm{Area(D)}=4\pi

Svara
Close