Dubbelintegral, polar koordinat

I den här problem får jag även ens inte den första steg rätt.
Jag beräknade gränser som

Men min integral blev:
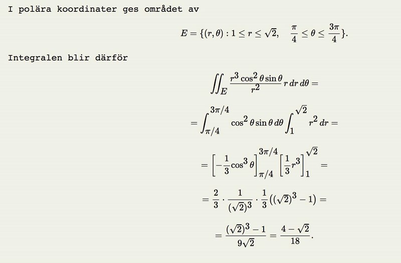
Rätt svar:
WHY?
Först och främst glömmer du att och . Så som du skrivit det är och .
Det andra är att när man byter till polära koordinater måste man ha med ett extra framför . Det är ungefär som när man gör ett variabelbyte med en enkelintegral och säger att , fast i det här fallet blir det .
För att förklara mer exakt varifrån det extra :et kommer behöver man Jacobideterminanten, men det vet jag inte om du lärt dig om ännu.
Ok, jag testar detta. Just det, om man inte glömmer :an borde man få tillräckling :or.
Hmm jag får inte rätt svar:
=
Om jag integrerar först med avseende på :
Hoppsan. Jag hittar noll.
Edit 1: hoppsan, nej det var inte noll.
Sista slarvel urskiljer inte jag just nu........
EDIT: I lösningen ser det ut som dem multiplicerar båda integralen med varandra och inte väntar till att sortera den första, och då den andra? Kan man också göra så, eller är det deras integrationskatt som är häftigare?

ska inte gå från till utan från till , .
Använd grafräknaren och rita ut så ser du att du mycket riktigt får en cirkel med radie .
EDIT: Nu var det jag som var dum. Jag fick för mig att området var .. Redigerar detta igen om jag hittar vad som kan vara fel.
är jag säkert på pga:
dajamanté skrev:
EDIT: I lösningen ser det ut som dem multiplicerar båda integralen med varandra och inte väntar till att sortera den första, och då den andra? Kan man också göra så, eller är det deras integrationskatt som är häftigare?
Ja, man kan ju göra så ifall gränserna till integralerna är konstanter (du märkte ju hur -integralen bara blev en konstant som kunde tas ut ur integralen efter du räknar ut den), men jag rekommenderar att man väntar och gör på ditt sätt för att undvika slarv.
Du har satt in gränserna i den primitiva funktionen fel. På slutet skall det bli:
Tack!
PS: jag kommer alldrig att kasta sten på någon för ett litet fel. Jag brukar slarva som om jag fick betalt för det :))
dajamanté skrev:Tack!
PS: jag kommer alldrig att kasta sten på någon för ett litet fel. Jag brukar slarva som om jag fick betalt för det :))
Jo jo, men det är ju bra om den som försöker hjälpa till säger rätt saker. :-)
hoho jag ska inte kasta sten för det heller, alla mina försök att hjälpa till kom med nåt misstag :)