4
svar
123
visningar
kimpembe behöver inte mer hjälp
Dubbelintegraler
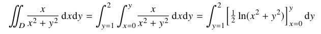
Beräkna dubbelintegralen
i området och .
Jag vill börja med att beräkna integralen med avseende på y men kommer ingen vart.
Vänd på det, börja med x.
Började med och försökte sen med regeln men där tar det stopp.

Resten klarar du säkert av.
Börja med att rita upp området du skall integrera över, så är det lättare att se i vilken ordning du skall integrera för att få det så enkelt som möjligt.