Dubbelintegraler
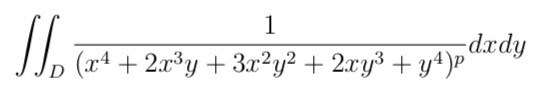
Hej, jag skulle uppskatta hjälp med hur jag kan lösa nedanstående dubbelintegral över området D

och finna för vilka värden på p som integraler konvergerar, . Men jag har svårt att se hur jag ska gå till väga för att lösa denna uppgift.
Min första tanke var att skriva om nämnaren till och sedan använda polära koordinater för och , men när jag testade detta fastnade jag istället vid hur man ska dela upp den nya nämnaren så att alla r hamnar i integralen för och i integralen för .
Går det att göra på något annat sätt eller är jag på rätt väg med min omskrivning fast jag missar något på vägen? Tack på förhand!
Det borde bli r4 i varje term i parentesen, som man lätt kan bryta ut. Hur ser det ut i polära koordinater?
Tack för ditt svar! Som du säger får jag och det är mer hur jag ska göra med p som gör att jag blir osäker. Kan man skriva ?
Visst kan man det.
Men är det verkligen ett bra sätt att hantera uppgiften på eller hade du en annan omskrivning i åtanke?
Du ville separera r och theta, och nu har du gjort det. Ska 2:an framför mittermen vara där förresten?
ty samt
Tack! Det var den omskrivningen jag kom fram till också, då är det alltså två integraler som jag ska lösa nu, multiplicerade med varandra, varav den en är integralen . Behöver man använda någon form av variabel substitution för att lösa detta? Kan nämligen inte hitta någon bra trigonometrisk omskrivning.
Ska du beräkna integralen eller bara avgöra för vilka p den existerar?
Laguna skrev:Ska du beräkna integralen eller bara avgöra för vilka p den existerar?
Jag ska avgöra för vilka p den existerar. Jag tog dock för givet att man behövde beräkna integralen för att komma fram till detta?
Vad skulle kunna få din theta-integral att inte existera?
Jag tror problemet är den andra integralen.. Vad händer när r=0?
Om man _bara_ är intresserad av huruvida integralen är konvergent eller ej kan man använda följande sats
SATS: Integralen är konvergent om och divergent om
Tänk på att man ska multiplicera integranden med en funktionaldeterminant om man byter till polära koordinater, dvs .
Vill man göra en faktisk beräkning av integralens värde måste man först vrida och räta ut "ellipsen" för att räkningarna ska bli rimligt hanterbara.