Dubbelintegraler
Tjena pluggakuten!
Jag har fastnat på en av de första frågorna för dubbelintegraler, och jag har glömt hur man går till väga, någon som kan vägleda mig?

Tack på förhand!
Splitta upp dubbelintegralen som en produkt av enkelintegraler, en över x och en över y. Båda ska integreras från -1 till 1.
Tja, tack för hjälpen, min övningsledar behövde hjälpa lite och då kom vi fram till följande:
Min fråga blir då varför tar man inte både integralen av X och e^-(x^2+y^2)?
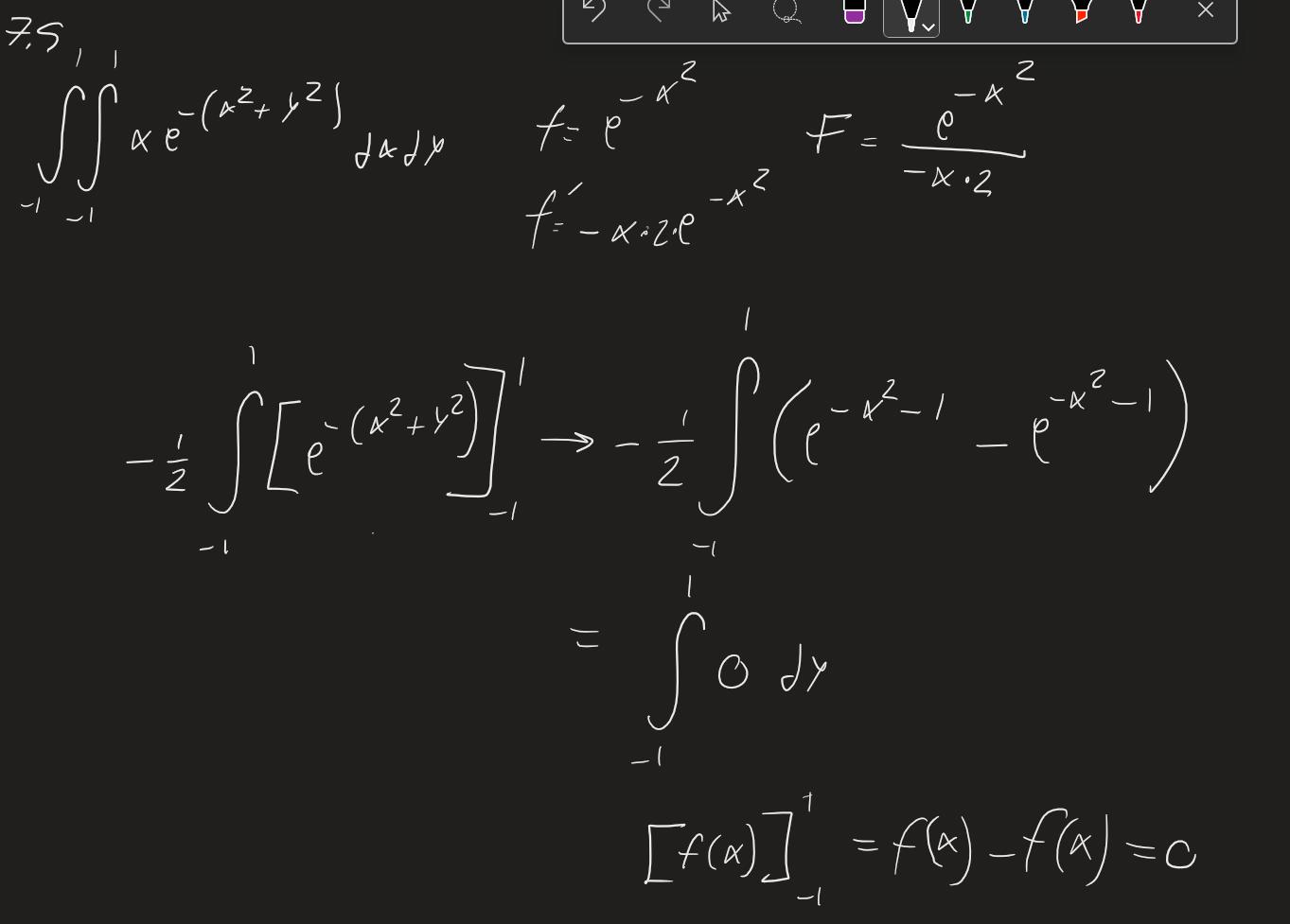
Jag har tyvärr lite svårt att tyda vad det är ni har gjort men jag skulle göra följande
.
Notera att den andra integralen över y inte går att skriva i elementära funktioner. Men eftersom att första integralen blir 0 behöver vi inte fundera över det.
Notera även att eftersom den första integranden till x är udda och den integreras från -1 till 1 inser vi direkt att integralen är 0.
Calle_K skrev:Jag har tyvärr lite svårt att tyda vad det är ni har gjort men jag skulle göra följande
.
Notera att den andra integralen över y inte går att skriva i elementära funktioner. Men eftersom att första integralen blir 0 behöver vi inte fundera över det.
Notera även att eftersom den första integranden till x är udda och den integreras från -1 till 1 inser vi direkt att integralen är 0.
Jag hänger med! Tack så mycket