Dubbelintegraler: förvirrande omskrivning
Så uppgiften är att bestämma:
, i boken gör man då följande omskrivning:
, vilket är rimligt eftersom den yttre integralen evaluerar till 1, men sedan kommer det jag inte förstår, nämligen:
, varför/hur är det tillåtet att flytta på gränsen på det här sättet och hur vet jag när jag kan göra det eller inte?
Tack på förhand!
Hej!
Det du har skrivit är nonsens. Hur ska du ha det med integrationsgränserna egentligen?
Albiki

Direkt från boken :/
Hej!
När man skriver
så är det vanligtvis samma sak som integralen
Det var därför som jag var frågande.
Albiki
Så hur ska jag tolka omskrivningen med avseende på gränserna då?
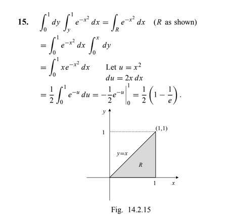
Som dubbelintegralen är given i uppgiften ska den integreras med avseende på x först (eftersom den beror av y), vilket inte går.
Området R (triangeln) som du ska integrera över kan istället beskrivas så att det beror av x:
I x-led är triangeln mellan x=0 och x=1. I y-led är den mellan y=0 och y=x.
Hej!
Uppgiften är tydligen att beräkna dubbelintegralen
över integrationsområdet
och där integranden är
Det hade underlättat avsevärt om du hade skrivit detta vid trådstarten.
Albiki
Albiki
_Elo_ skrev :Som dubbelintegralen är given i uppgiften ska den integreras med avseende på x först (eftersom den beror av y), vilket inte går.
Området R (triangeln) som du ska integrera över kan istället beskrivas så att det beror av x:
I x-led är triangeln mellan x=0 och x=1. I y-led är den mellan y=0 och y=x.
Så det är av symmetriskäl man kan göra gränsbytet?
Hej!
Integrationsområdet kan uppfattas på två sätt:
- Som en samling vertikala linjer, där fixeras och ligger mellan och det fixerade
- Som en samling horisontella linjer, där fixeras och ligger mellan det fixerade och .
Den första tolkningen av integrationsområdet ger att dubbelintegralen kan beräknas som följande itererade enkelintegraler.
Den andra tolkningen av integrationsområdet ger att dubbelintegralen kan beräknas som följande itererade enkelintegraler.
Vilken av dessa två tolkningar du väljer att utnyttja beror på hur lätt enkelintegralerna kan beräknas, vilket naturligtvis beror på hur integranden ser ut.
I det här fallet hade jag valt den första tolkningen av integrationsområdet, eftersom funktionen saknar en primitiv funktion som kan uttryckas med elementära funktioner, vilket omöjliggör beräkning av enkelintegralen
Albiki
Utmärkt förklaring. Tack!