Dubbla vinkeln
Jag undrar bara hur jag kan skriva om cos 4x med dubbla vinkeln. Hur blir det när det står 4 istället för 2?
Detta blev inte rätt:

du kan sätta a=2x så du får cos(2a)
Lösa för dubblevinklen och sedan byta tillbaka till 2x. Sedan får du ta dubblevinkeln igen ...
Du kommer få cos4(x) - 6 sin(x)2cos(x)2+sin(x)4
eller nåt sånt
cos (4x) = cos (2 * (2x))
Bedinsis skrev:cos (4x) = cos (2 * (2x))
Vad gör man med denna tvåa? Jag fattar inte vart man lägger den
Den med fetstil markerade tvåan är indikativt att det är en dubblering av vinkeln innanför den inre parentesen, dvs. att cos(4x) är cosinus av vinkeln 2x fast dubblerat, något som joculator beskrev mer utförligt.
Använt formeln för cosinus av dubbla vinkeln om du tänker dig att vinkeln vi dubblerar är 2x.
Det du vill göra med cos2x är en bra tanke, men det ser inte riktigt rätt ut.
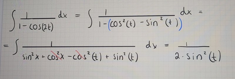
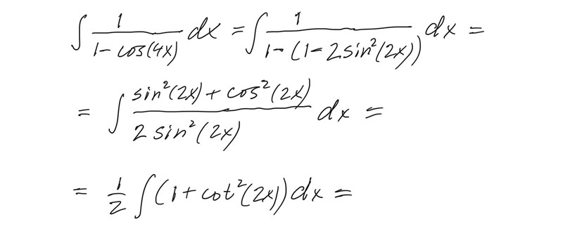
Skriv 1-cos4x som ett uttryck i cos2x, och substituera sedan t = 2x.
Blir inte rätt
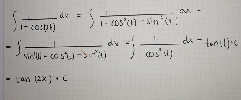
Räkna ut 1-(cos2t - sin2t) igen.
Stoppar jag in (2x) i kvoten får jag +c. Det blir inte rätt. Ska man förenkla något annat också?
offan123 skrev:
Blir inte rätt
Du kan väl inte ha en funktion av t som du sen integrerar med dx? Bör man inte byta ut dx mot dx/dt * dt
offan123 skrev:
Här är också blandat x och t.
Så här, skrev det lite snabbt
Du använder dx i formel men du skall byta ut dx mot
dx/dt dt
dx/dt får du från substitutionen

.jpg?width=800&upscale=false)