3
svar
178
visningar
detrr behöver inte mer hjälp
Dubbla vinkeln för cos? Integraler
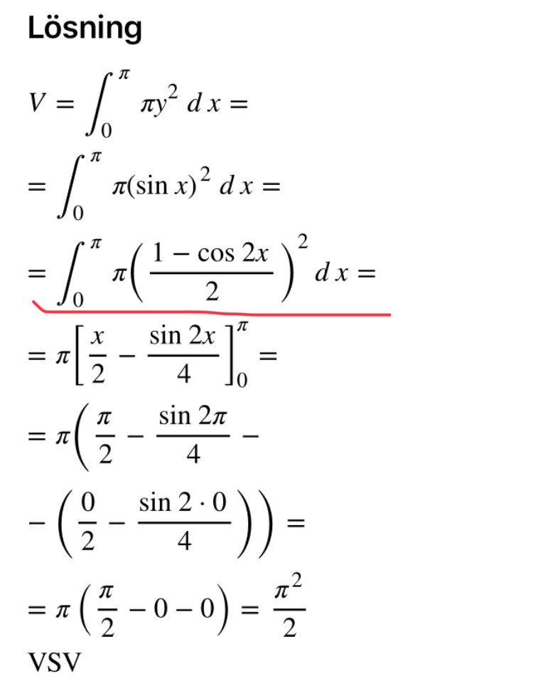
Hej, jag försöker lösa en uppgift i min mattebok och när jag tittar på lösningsförslaget fattar jag inte riktigt hur de har gjort vid det tredje steget när de ersätter sin^2 (x) (det röda)?


Tryckfel. De menar
(Ingen kvadrat i HL alltså)
Aha okej, då förstår jag. Tack för hjälpen!