Dubbla vinklar


hejsan
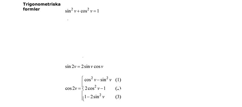
jag skulle behöva ha hjälp att lösa denna uppgift. Det finns många formel att välja ifrån
Kolla på vad du har och vad som är sökt. Trigettan ihop med sin(2v) blir bra tycker jag.
sin 2v = 2 cos v sin v = 2 cos v och sätt in värdet för cos v
Jag kan inte riktigt se hur jag kan koppla ihop triggettan med sin(2v)
Ok, så man använder trigg ettan för att veta värdet av 1 st sinv.
sedan sin(2v) formeln för att ta reda på värdet av 2st sinv
Det är från trigettan du kan bryta ut ett värde för sin(v).
Hej rita en triangel med sida rot(3) och hypotenusa 5. Använd pytagoras för att få fram den sista sidan som är rot(22) . Rita ut vinkeln v på enhetscirkeln. Nu vet du också att sinv = -rot(22)/5 . Om du vet cos(v) och sin(v) kan de sedan ta reda på sin(2v)=2sin(v)cos(v)
