0
svar
155
visningar
Dynamic circuit using differential equation
For the past few weeks I have been trying to solve this dynamic circuit with no lock in solving the whole equation. I have difficulty in finding the contants at the end of the equation when coming up with the general solution for the circuit. Here is the question:
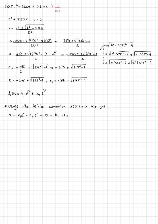
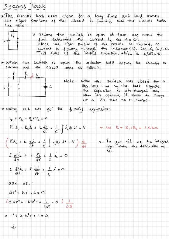
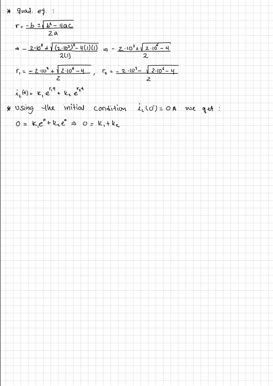
and this is part of my solution:




Correct me if my understanding is incorrect, the way I have analyzed the circuit. Thanks.