Dynamik. Beräkna accelerationen.
Hej, jag förstår inte riktigt hur man ska tänka när det gäller följande uppgift:

Jag försökte lösa den på egen hand, men fick helt fel svar. Det är några saker som jag inte förstår i lösningsförslaget:

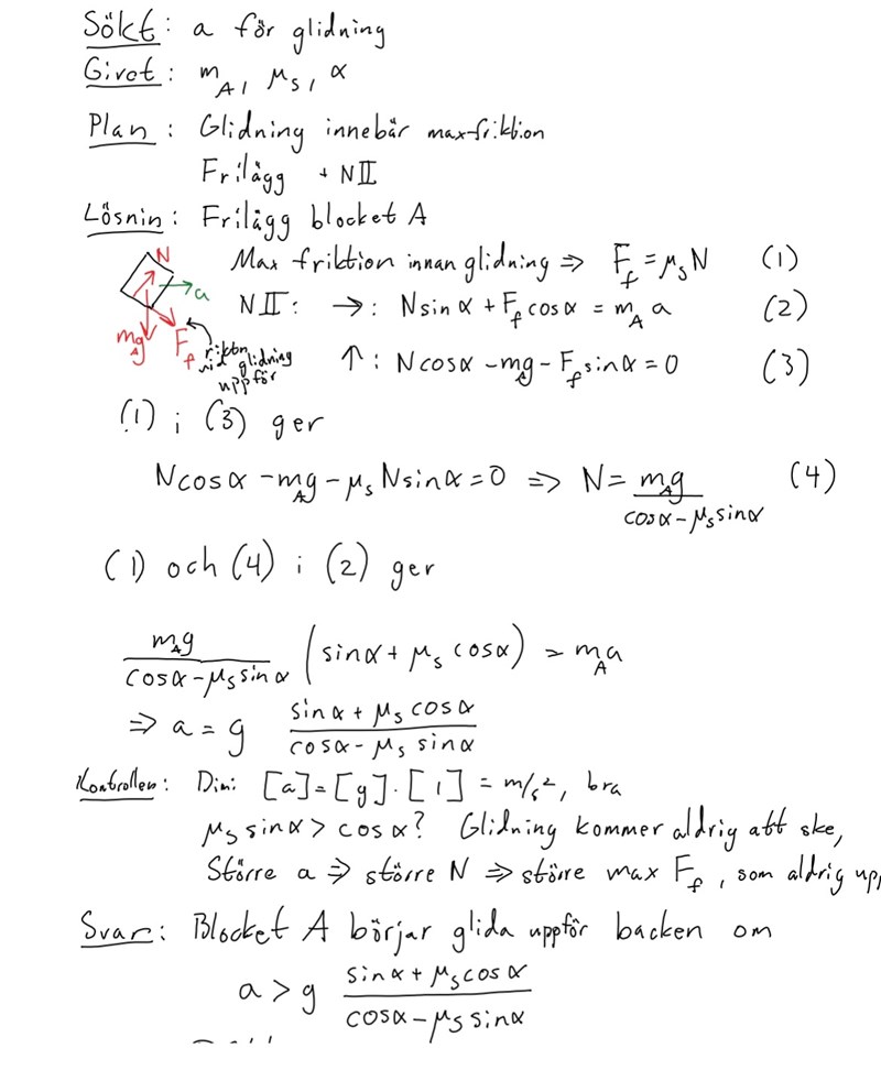
Jag skulle vilja fråga varför man inte kan säga att normalkraften är lika med cos(beta)*mg som man brukar göra i sådana här lutande plan-uppgifter?
Och hur accelerationen kan vara riktad åt höger när den ska glida uppför planet?
Det jag försökte göra var att dela upp accelerationen i en komponent längs det lutande planet ax = a*cos(beta) och en komponent ay snett uppåt höger, samma riktning som normalkraften, och så satte jag att friktionskraften + tyngdkraftens komponent i längs det lutande planet = N*μ +mg*sin(beta) = ax vilket blev totalt fel.
Ellinor skrev:Jag skulle vilja fråga varför man inte kan säga att normalkraften är lika med cos(beta)*mg som man brukar göra i sådana här lutande plan-uppgifter?
För att uppgiften inte är som den brukar vara, lutande planet. Här är det en kil som accelererar. Och den utöver en kraft på blocket så att även den accelererar.
När kilens acceleration är till höger gör trögheten att blocket ”vill” stanna kvar på samma x-läge och då måste den glida högre upp på kilen.
Jag förstår, tack så mycket.