E-fält
Hej där,
här kommer uppgiften:
Jag fattar inte riktigt vad som händer med deriveringen här nedanför?

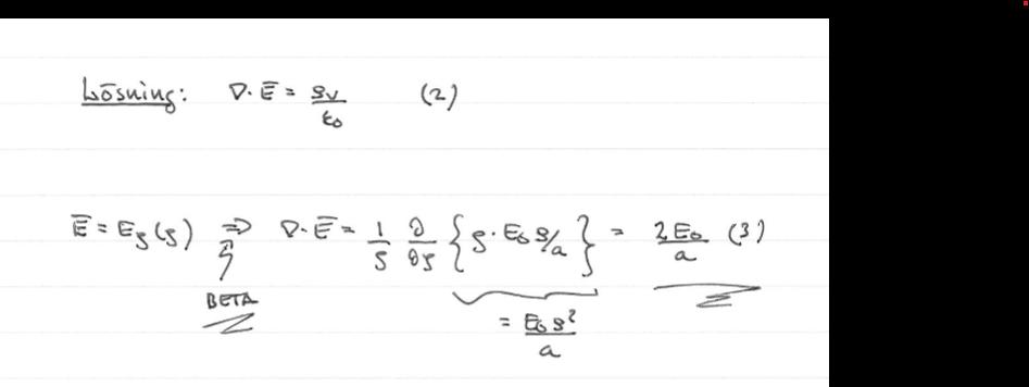
De använder ett uttryck för divergensen för cylinderkoordianter
Där vi inte behöver bry oss de sista delarna eftersom
Det framgår också av uppgiften att
D4NIEL skrev:De använder ett uttryck för divergensen för cylinderkoordianter
Där vi inte behöver bry oss de sista delarna eftersom
Det framgår också av uppgiften att
Ok, rimligt. Är rho "radien" här då eller?
Utöver det, varför deriverar man inte enbart med avseende på rho, utan varför ska man multiplicera och dividerar med rho?
Tack för svar.
Ja, är radien i området
När man använder -operatorn i kroklinjiga koordinatsystem måste man använda skalfaktorer och kopplingar till metriken. Leta upp avsnittet som handlar om cylinderkoordinater i Beta så hittar du färdiga uttryck för t.ex. och
D4NIEL skrev:Ja, är radien i området
När man använder -operatorn i kroklinjiga koordinatsystem måste man använda skalfaktorer och kopplingar till metriken. Leta upp avsnittet som handlar om cylinderkoordinater i Beta så hittar du färdiga uttryck för t.ex. och
Ahaaa okay! Tack så hemskt mycket.