Eddler: Integraler med trigonometriska funktion.
Beräkna

Hur vill de att man ska veta
Följande primitiva samband har provats.
Följande derivata samband har provats.
sin2x ger derivatan: sin2x * 2
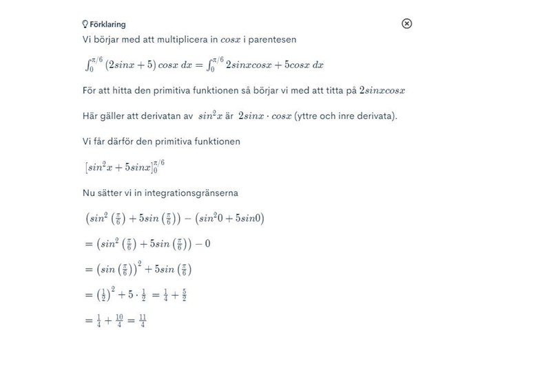
Facit integrerar 2sin(x)cos(x) genom att se att cos är derivatan till sin, och då kan man se direkt att sin^2(x) är en primitiv.
Det du verkar göra är att istället skriva om 2sin(x)cos(x) till sin(2x) och integrera det istället. Båda metoder är rätt, men du måste bestämma dig för en av dem.
Facits sätt att lösa detta medför att man är van nog med antiderivator så att man helt enkelt kan "se" vad antiderivatan ska vara. Men om man vill lösa det lite mer "ordentligt" så kan man göra som följande.
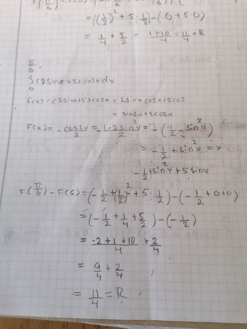
2sin(x)cos(x) kan förenklas med hjälp av en trigonometrisk identitet (dubbelvinkeln för sin) som helt enkelt blir sin(2x). Om vi exempelvis deriverar detta så multipliceras 2an in framför sin enligt kedjeregeln och sin blir cos istället, så när man integrerar så tänker man helt enkelt baklänges, dvs man delar med 2 istället och sin blir -cos. Så vi får då att den primitiva funktionen av sin(2x) är . Detta kan man skriva om med hjälp av dubbelvinkeln för cos till:
Tillägger att man behöver inte göra facits modell i huvudet, det de gör är samma sak som händer om man gör variabelbyte med t=sinx. Hade funkat lika bra med cosx. Om ni har hunnit lära er det än.
MathematicsDEF skrev:Facits sätt att lösa detta medför att man är van nog med antiderivator så att man helt enkelt kan "se" vad antiderivatan ska vara. Men om man vill lösa det lite mer "ordentligt" så kan man göra som följande.
2sin(x)cos(x) kan förenklas med hjälp av en trigonometrisk identitet (dubbelvinkeln för sin) som helt enkelt blir sin(2x). Om vi exempelvis deriverar detta så multipliceras 2an in framför sin enligt kedjeregeln och sin blir cos istället, så när man integrerar så tänker man helt enkelt baklänges, dvs man delar med 2 istället och sin blir -cos. Så vi får då att den primitiva funktionen av sin(2x) är . Detta kan man skriva om med hjälp av dubbelvinkeln för cos till:
Då får jag följande beräkning.
Dubbla vinkeln användes b.la
Och parantes för att få till korrekt primitiv funktion.
