Eddler: Matte 4 - kända vinklar
Hej
Jag har jättesvårt att tänka mig kunna veta detta.
I tidigare uppgifter har jag kunnat veta detta genom formelbladet, eller just tänka på enhetscirkeln.
I detta fallet står värdet inte med, och det är jobbigt att tänka sig m.h.a det.

Rubrik kompletterad eftersom "eddler matte 4" inte beskriver innehållet av tråden. /Dracaena, moderator.
Du kan använda enhetscirkeln.
Rita en radie som bildar vinkeln 5pi/3 mot den positiva horisontella axeln.
Du ser då att du kan beräkna cosinus- och sinusvärdena med hjälp av tankestödet "en halv liksidig triangel".
Välj gärna en mer beskrivande rubrik till dina trådar.
Yngve skrev:Du kan använda enhetscirkeln.
Rita en radie som bildar vinkeln 5pi/3 mot den positiva horisontella axeln.
Du ser då att du kan beräkna cosinus- och sinusvärdena med hjälp av tankestödet "en halv liksidig triangel".
Välj gärna en mer beskrivande rubrik till dina trådar.
Ok.
Men så du menar en halv liksidig triangel är alltså 45 grader?
Jag får "den" till 30 grader
I början tänkte jag
Alltså får vi den till 30 grader som sagt!?

Nej, i en liksidig triangel är alla vinklar 60°.
I en halv liksidig triangel är vinklarna 30°, 60° och 90°.
Det stämmer att cosinusvärdet för 5pi/3 (300°)är lika med cosinusvärdet för -pi/3 (-60°) och att sinusvärdet för 5pi/3 är lika med sinusvärdet för -pi/3.
Yngve skrev:Nej, i en liksidig triangel är alla vinklar 60°.
I en halv liksidig triangel är vinklarna 30°, 60° och 90°.
Det stämmer att cosinusvärdet för 5pi/3 (300°)är lika med cosinusvärdet för -pi/3 (-60°) och att sinusvärdet för 5pi/3 är lika med sinusvärdet för -pi/3.
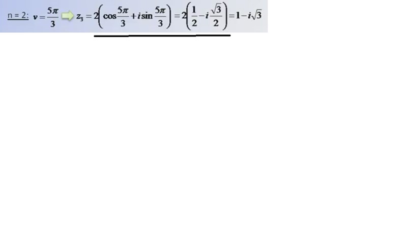
Jag gjorde så att en annan vinkel, w markerades. W fås genom .
Sedan jämfördes cosinusvärdet för samt sinusvärdet för med enhetscirkeln och på detta sätt fås de korrekta värden.

Ursäkta bilden.
Tayzo569 skrev:Yngve skrev:Nej, i en liksidig triangel är alla vinklar 60°.
I en halv liksidig triangel är vinklarna 30°, 60° och 90°.
Det stämmer att cosinusvärdet för 5pi/3 (300°)är lika med cosinusvärdet för -pi/3 (-60°) och att sinusvärdet för 5pi/3 är lika med sinusvärdet för -pi/3.
Jag gjorde så att en annan vinkel, w markerades. W fås genom .
Sedan jämfördes cosinusvärdet för samt sinusvärdet för med enhetscirkeln och på detta sätt fås de korrekta värden.
Ursäkta bilden.
Jag hoppas på metoden är godkänd.
Jag hoppas på att metoden även kan användas för en annan V-vinkel.