1
svar
104
visningar
Effekt i elektriska kretsar
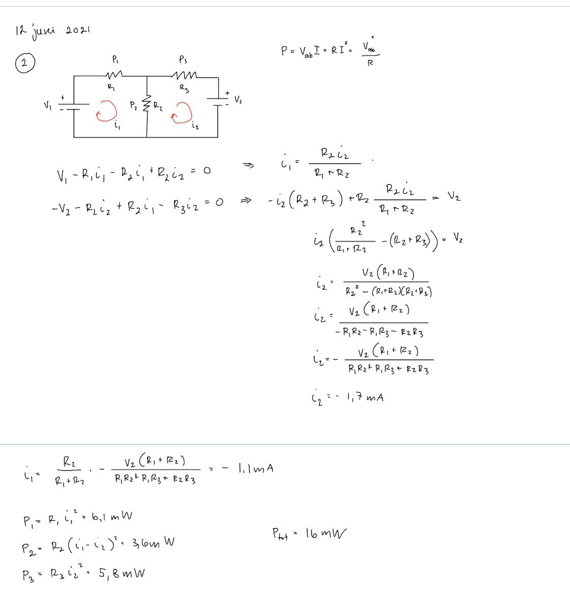
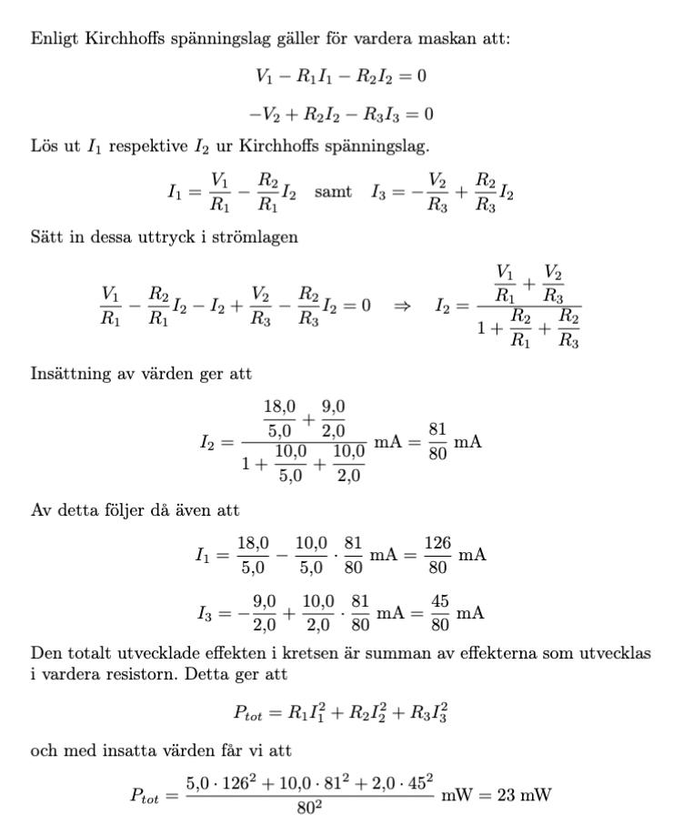
Hej! Man kan ju lösa uppgiften genom att införa 3 strömmar så som lösningsförslaget gör, men sen har vi också lärt oss att men kan göra potentialvandringar i maskor så som jag gör. Vad är det som blir fel i min lösning?




