Efter hur lång tid är sönderfallshastigheten -3mg/dag?
Hej!
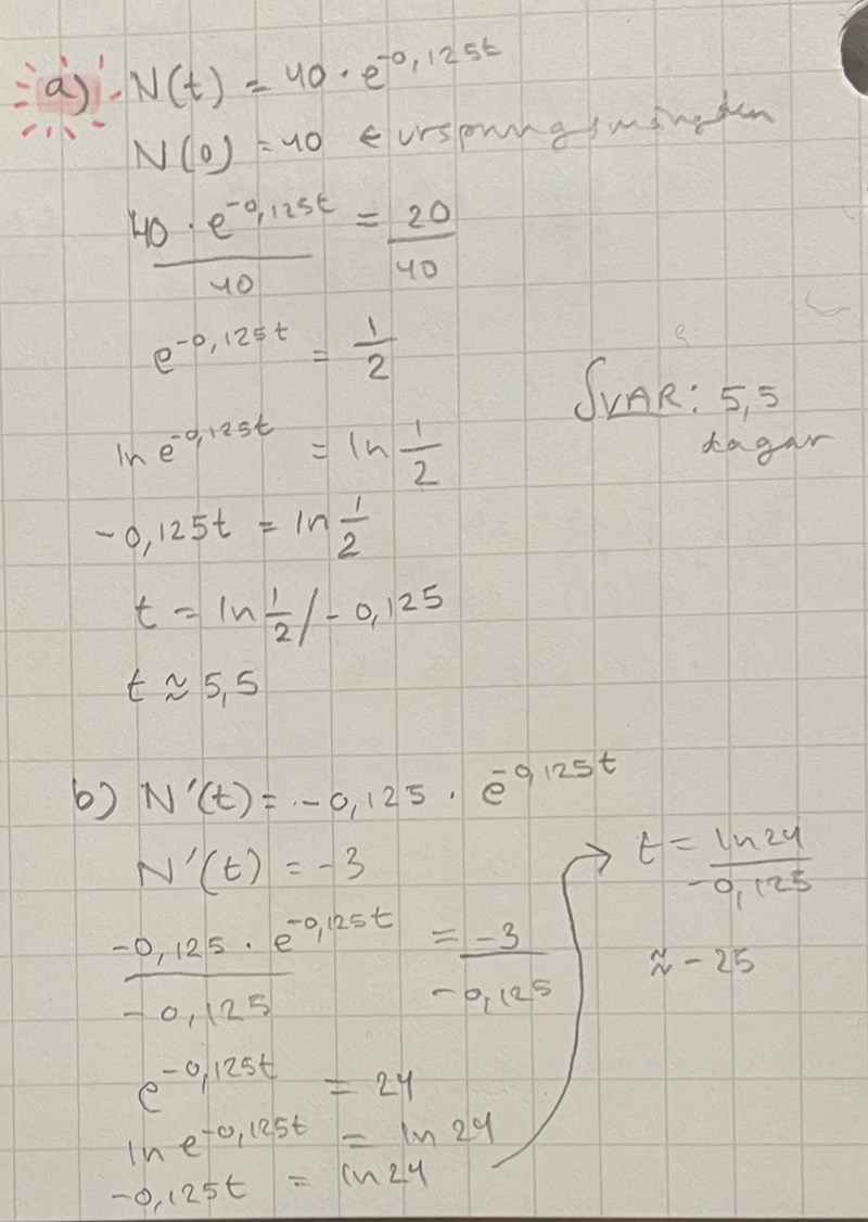
Jag håller på med denna uppgift som du kan se nedan (upg b)). Nedan kan du även se hur jag har försökt lösa den. Jag förstår inte riktigt vad för fel jag gör och skulle gärna uppskatta om någon kunde förklara det för mig.
Tack på förhand!


Du gör fel i din derivering.
Vad för fel gör jag? Jag har följt deriveringsreglerna på mitt formelblad.
Jag gissar på att du har antagit att det är addition mellan 40 och e-0,125t. Men det är multiplikation, alltså ska du inte ta bort 40. Ta bort 40 skulle man göra ifall det var addition.
Juste! Ser det nu! Vi har inte gått igenom vilka deriveringsregler som gäller vid multiplikation (eller division) av funktioner, utan det kommer i ma4. Därför behöver jag alltså använda mig av derivatans definition för att lösa uppgiften antar jag?
Har ni inte fått lära er att t.ex derivera 4x2?
Jo, det har vi fått lära oss, men inte hur man t.ex. ska derivera f(x) = x2 * 2-x med deriveringsreglerna. Då måste jag använda mig av derivatans definition istället. Men jag antar att detta fall kanske är annorlunda då 40 och e-0.125t kan skrivas som ett ”ihopslaget” uttryck -> 40e-0.125t?
karisma skrev:Men jag antar att detta fall kanske är annorlunda då 40 och e-0.125t kan skrivas som ett ”ihopslaget” uttryck -> 40e-0.125t?
Precis. Sedan när du deriverar det så blir det -0,125*40e-0,125t
Skillnaden på ditt exempel med x2*2-x är att du har x i båda faktorerna
OILOL skrev:karisma skrev:Men jag antar att detta fall kanske är annorlunda då 40 och e-0.125t kan skrivas som ett ”ihopslaget” uttryck -> 40e-0.125t?
Precis. Sedan när du deriverar det så blir det -0,125*40e-0,125t
Ja precis så gjorde jag nu, och då blev det rätt! Tack för hjälpen (:
OILOL skrev:Skillnaden på ditt exempel med x2*2-x är att du har x i båda faktorerna
Ja, jag insåg det sen i efterhand!