Efterfrågeelasticitet och inkomstelasticitet
Hej!
Sitter lite fast i uträkningsfasen för elasticiteterna i rubriken nämnda.
Vi vill ta fram efterfrågeelasticiteten och inkomstelasticiteten för x1 givet följande information:
Y=250
P1=25
x1=(3/10)•(Y/p1)
Har formulerat först efterfrågeelasticiteten=(DeltaX1/DeltaP1)•(P1/x1) Vad som sedan bör göras är oklart.
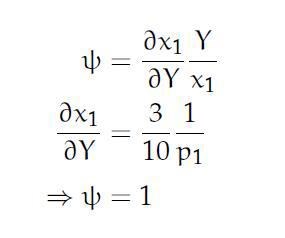
#2; inkomstelasticiteten=(DeltaX1/DeltaY)/(Y/x1). Sen är det stiltje här med
Hur gör man för att räkna ut följande? Känns relativt grundläggande, men förstår inte hur det går till.
Vänligen,
Tråd flyttad från matematik/universitet till ekonomi/universitet. /Dracaena
Välkommen till Pluggakuten!
Vi kan nog hjälpa dig om du förklarar dina beteckningar,
Vad betyder Y , P1, x1, p1, X ?
Det kanske framgår om du lägger in en bild av uppgiftstexten?
Arktos skrev:Välkommen till Pluggakuten!
Vi kan nog hjälpa dig om du förklarar dina beteckningar,
Vad betyder Y , P1, x1, p1, X ?Det kanske framgår om du lägger in en bild av uppgiftstexten?

Smart, glömde av den lilla biten. Min fråga gäller alltså uppgift c).
Från tidigare uppgift har man fått fram följande information:
x1 = (3/10)*(Y/p1)
x2 = (7/10)*(Y/p2)
Oj, det var inte lite på en gång.
Det här hinner jag nog inte reda ut förrän i slutet på veckan.
Men texten:
Det är två varor, #1 och #2. Man verkar ha blandat ihop det med x1 och x2.
Priset på varorna är p1 resp p2 och kvantiteterna är x1 resp x2 .
Det frågas efter eftrtfr- o ink-elasticitet för vara #1 (inte för x1)
x1 = (3/10)*(Y/p1) ser ut att vara efterfrågefunktionen för vara#1.
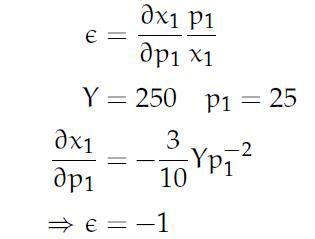
I uppgiften gäller Y=250 och vi ska beräkna eftrfr-elasticiteten i den punkt där p1 = 25.
Härifrån kanske du kommer vidare själv?
Har efter många om och men fått tag i ett facit till dessa frågor, vilket underlättar en del. Behöver dock lite klarhet i hur man har gått tillväga här, samt lite förståelse varför?
Efterfrågeelasticiteten:

Inkomstelasticiteten:

Så bra. Här står ju formlerna också, Se även
https://sv.wikipedia.org/wiki/Priselasticitet
https://en.wikipedia.org/wiki/Price_elasticity_of_demand
Jag övergår nu till normalt ekonomiskt skrivsätt, där man betecknar priset med p och kvantiteten med q .
Priselasticiteten (här efterfrågeelaticiteten) är kvoten mellan
[relativ kvantitetsändring] = [∆q/q]
och
[relativ prisändring] = [∆p/p]
dvs
[∆q /q ]· [p /∆p] = [∆q /∆p]· [p / q]
Gäller det (som i detta fall) elasticiteten i en bestämd punkt på efterfrågekurvan, talar man om punktelasticitet. Då övergår ∆q /∆p till dq/dp , dvs till derivatans värde i punkten.
Lite löst: Välj en viss punkt på efterfrågekurvan. Om priset därifrån ändras med 1%, med hur många % ändras då den efterfrågade kvantiteten? Normalt varierar elasticiteten längs efterfrågekurvan.
Här frågas det efter elasticiteten i den punkt på kurvan där p = 25.
Kommer du nu vidare själv?
Arktos skrev:Så bra. Här står ju formlerna också, Se även
https://sv.wikipedia.org/wiki/Priselasticitet
https://en.wikipedia.org/wiki/Price_elasticity_of_demandJag övergår nu till normalt ekonomiskt skrivsätt, där man betecknar priset med p och kvantiteten med q .
Priselasticiteten (här efterfrågeelaticiteten) är kvoten mellan
[relativ kvantitetsändring] = [∆q/q]
och
[relativ prisändring] = [∆p/p]
dvs
[∆q /q ]· [p /∆p] = [∆q /∆p]· [p / q]Gäller det (som i detta fall) elasticiteten i en bestämd punkt på efterfrågekurvan, talar man om punktelasticitet. Då övergår ∆q /∆p till dq/dp , dvs till derivatans värde i punkten.
Lite löst: Välj en viss punkt på efterfrågekurvan. Om priset därifrån ändras med 1%, med hur många % ändras då den efterfrågade kvantiteten? Normalt varierar elasticiteten längs efterfrågekurvan.
Här frågas det efter elasticiteten i den punkt på kurvan där p = 25.
Kommer du nu vidare själv?
Nu börjar det klarna i tänket om vad det faktiskt handlar om. Dock fortsatt nyfiken på det facit kommit fram till. Rent krasst förstår jag inte hur de flyttar över ena värdet på andra sidan, utan att tecknet byts t.ex. Den rena räkningen facit tillger är för mig oklar.
Hur då "flyttar värden"?
Låt oss följa receptet på elasticitet i mitt förra inlägg och se vad det ger för värde.
Efterfrågefunktionen fick vi i ditt andra inlägg:
x1 = (3/10)*(Y/p1) och här gäller Y=250
Med mina beteckningar blir det
q = (3/10)*(250/p) = 75/p med derivatan [dq/dp] = –75/p^2
För p=25 är q = 75/25 = 3 och [dq/dp] = –75/625 = –3/25
Då blir [dq/dp] ·[p /q] = ?
Yes! Är nu med i matchen! Tackar så mycket för hjälpen :)
//Snille420
Bravo!