0
svar
142
visningar
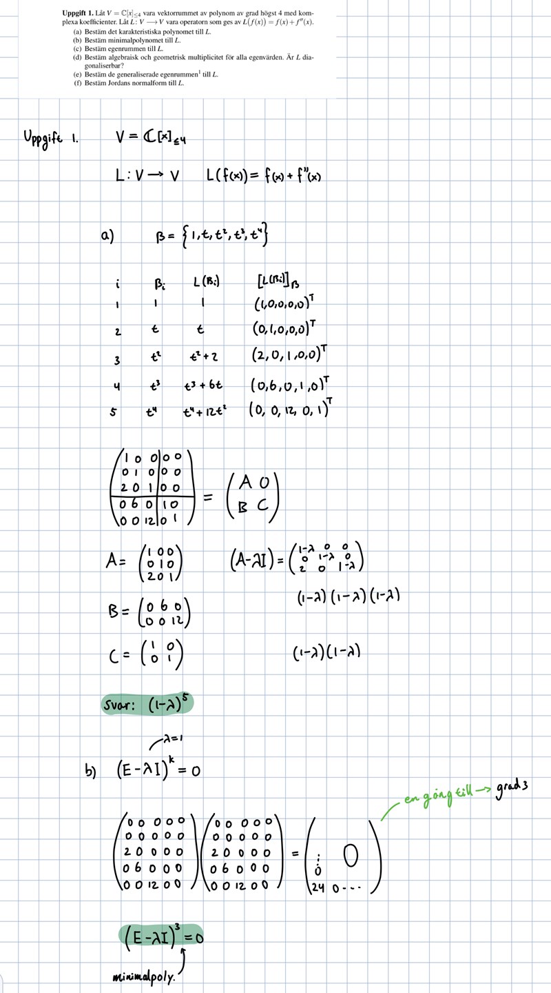
Egenrum och generella egenrum
Hej!
Så vi ska i princip hitta Jordans normalform till L med del många delsteg. Här nedan är facit/lösningsförslag men jag fick annorlunda svar på c) och lite osäker på e).
Mina lösningar:

i facit/lösningsförlag så fås 1 och x till egenvektorer men jag får x^3 och x^4. på del e) råka skriva d) i min lösning, är generella egenrummet bestående av tre valfria vektorer (tre dimensioner) eller ska man multiplicera en med matris för att få de med lägre ordning?