0
svar
128
visningar
Egenvärde och egenfunktioner med taylorutveckling

Hej, jag sitter med ii) och vet inte riktigt hur jag skall lösa den.
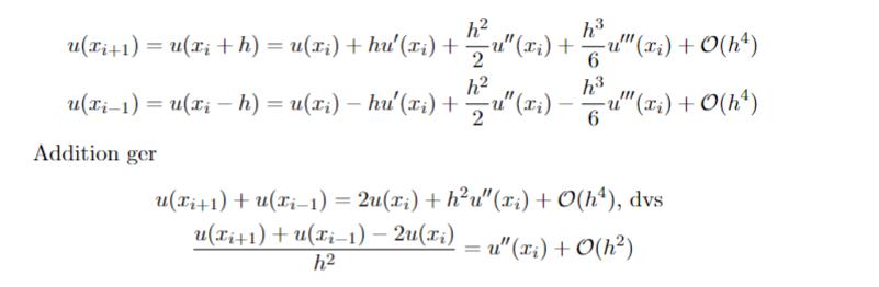
Löste i) på samma sätt som facit, genom taylorutveckling, detta fick jag fram:

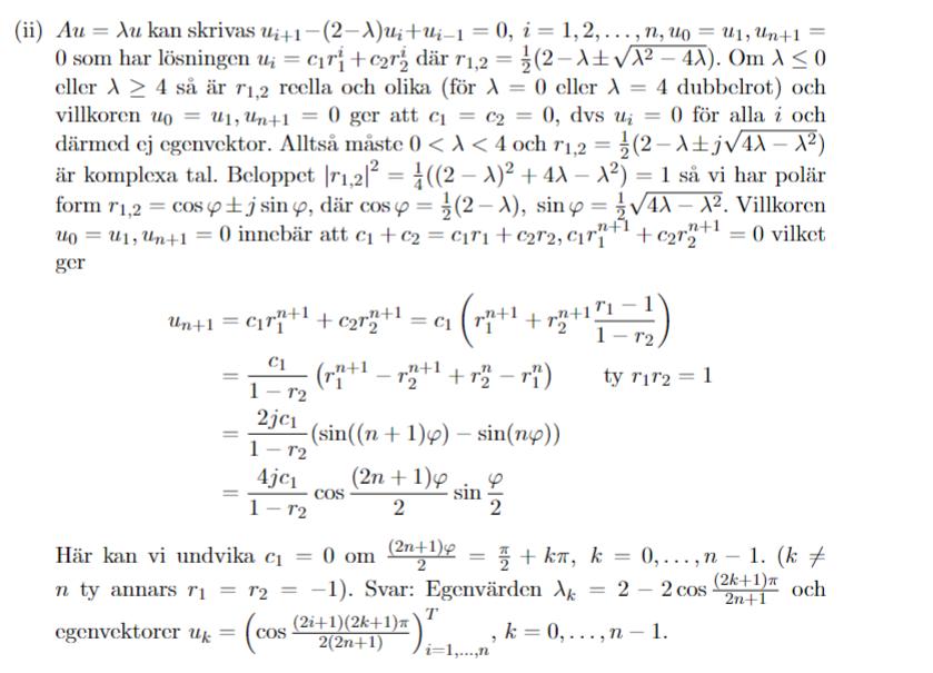
Jag har dock ingen aning hur jag skall göra med ii), facit är också väldigt otydligt på den fronten:

Jag vet att egenvektor kan beräknas med , men ser inte hur det skulle kunna användas här.
Någon som vet hur jag bör börja?
Tack!