2
svar
98
visningar
Milamo22 behöver inte mer hjälp
Egenvärden 2
Hej!
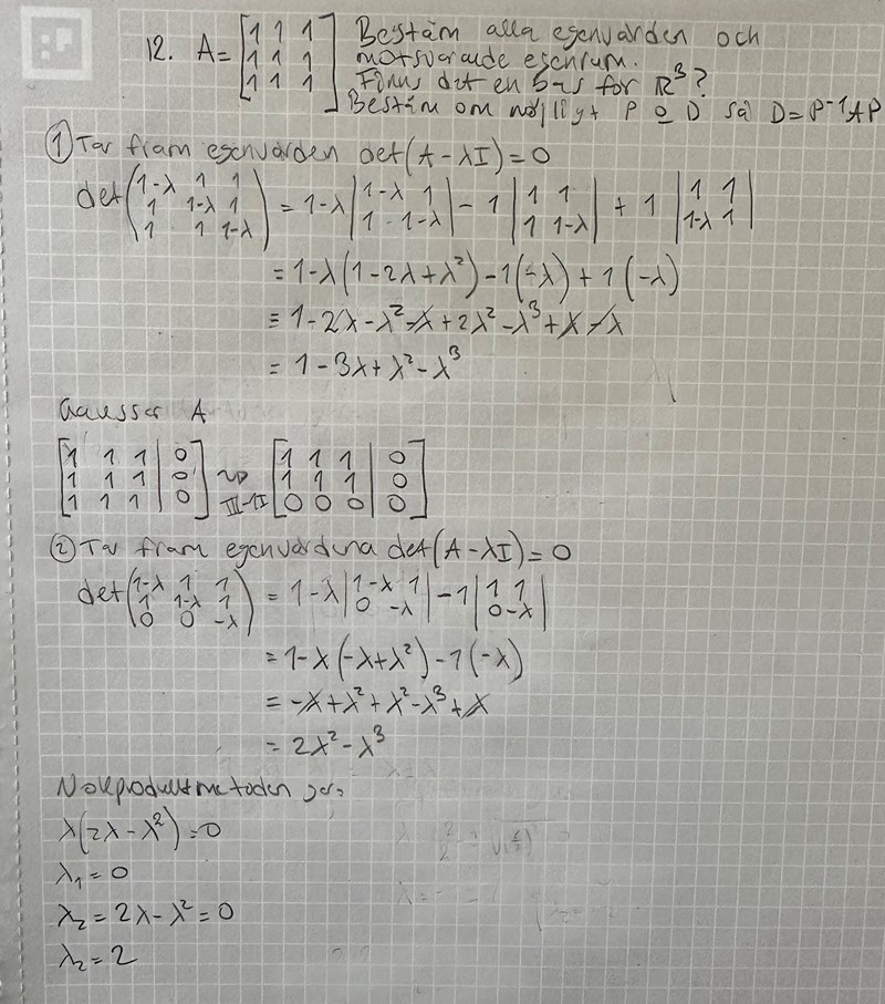
Jag sitter fast med nedan, vad är det jag gör för fel i min uträkning?
Provade både att beräkna determinanten direkt på matris A och även att gaussa den först (vet inte om man får gaussa innan men ville prova för att se om det gick). Men båda blir fel.. Enligt facit ska egenvärdena bli 3 och 0..


Du får inte gaussa innan, elementära radoperationer bevarar inte egenvärdena i allmänhet.
Du har gjort några slarvfel här

D4NIEL skrev:Du får inte gaussa innan, elementära radoperationer bevarar inte egenvärdena i allmänhet.
Du har gjort några slarvfel här
Ah men det är bra att veta! Då ska jag inte göra det mer, tack :)