2
svar
178
visningar
theswagmaster behöver inte mer hjälp
Egenvärden

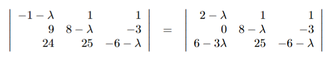
Hej, jag förstår inte hur man går från den första determinanten till den andra, är det kolumn operationer?
Precis, kolumn tre gånger skalären 3 har adderats till kolumn ett.
tack!!!