0
svar
133
visningar
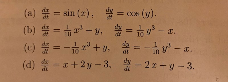
Egenvärden och klassificiering
Hej, den här typen av uppgifter brukar jag
1- ta fram koefficientmatris 2- beräkna fram egenvärdena 3 - klassificera utifrån de olika fallen
eller
om det är givet som dy/dx sätter jag in olika punkter i dem och kollar hur de lutar sig i olika punkter
men när det är givet med trigonometriska uttryck och icke-linjärt vet jag inte riktigt hur jag ska göra. Testade ta fram jacobian och linjärisera men fick inte till det, funkade heller inte med att sätta in punkter. Nån som har koll på detta?