0
svar
52
visningar
offan123 behöver inte mer hjälp
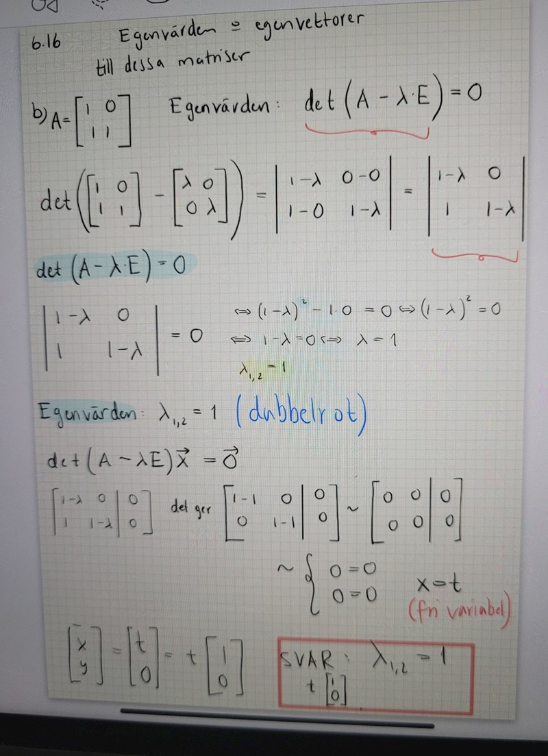
Egenvektor och sättas x=t?
Jag får fel när jag ska sätta t till en av variablerna. Hur vet man vilken variabel som får t?
Edit: hittade mitt fel, glömde en 1:a, och därför blir det t(0,1)