1
svar
88
visningar
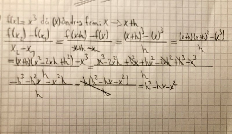
Ej samma svar som facit men jag finner ej felet i min lösningsmetod...
Hej PA.
Jag har löst m.h.a. ändringskvoten då (x) går från x till x+h.
Jag postar bild på min lösning nedan men jag får ej samma svar som i facit men jag är nära...
Sorry för en lite suddig bild. Jag tror att min kamera har tagit allt för mycket skada med tiden...

Vad säger facit? Du har utvecklat (x + h)2 fel. 2xh ska vara positivt, inte negativt. Om du rättar till det borde allt bli rätt. Annars ser det bra ut. Eftersom det är en ändringskvot, och vi inte har några uppgifter om att h går mot noll, stämmer det.