5
svar
128
visningar
micke2z behöver inte mer hjälp
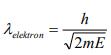
EK och våglängd

Hur få man de till 
Jag är lite förvirrad för de är ju 2 m om man trycker in v i and formeln
v= (ek*2/m)^(1/2) ?
m/sqrt(m)=sqrt(m), så det blir rätt.
Calle_K skrev:m/sqrt(m)=sqrt(m), så det blir rätt.
Tack jag förstod direkt när jag läste de.
Så m= 2 rotenur
så när man ploppa in v så tas en roten m bort, kvar blir en rot m
Perfekt!
micke2z skrev:
Mina bilder raderas hela tiden, jag vet inte varför. Jag brukar ju komma tbx till posten ibland ner jag har glömt bort den.
