6 svar
249 visningar
plusminus behöver inte mer hjälp
plusminus 618
Postad: 19 apr 2024 19:57 Redigerad: 19 apr 2024 20:25

ekv med fakultet

Hur löser man

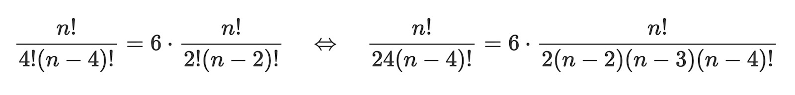
n!4! (n-4)!= 6 n!2! (n-2)!

Kan jag multiplicera upp nämnarna?

Anto 367
Postad: 19 apr 2024 20:18 Redigerad: 19 apr 2024 20:19

1. Ska det verkligen inte var ett ! efter (n-4) i nämnaren?

2. Som svar på frågan: Ja

plusminus 618
Postad: 19 apr 2024 20:25

Jo det ska vara ett ! efter (n-4), ändrar på det nu, tack!

Mannen45 85
Postad: 19 apr 2024 20:26

Hur kan multiplicera upp nämnaren?

plusminus 618
Postad: 19 apr 2024 20:31

n! × 2! × (n-2)! = 6 × n! × 4! ×(n-4)!

 

 = 

 

n! × 2 ×(n-2)! = 6 ×4 ×3×2 ×n!  (n-4)!

=

(n-2)! = 6×4×3 ×(n-4)!

 

Vet dock inte hur jag ska ta mig vidare härifrån..

Trinity2 4345
Postad: 19 apr 2024 20:34

Kommer du vidare nu?

plusminus 618
Postad: 19 apr 2024 20:39 Redigerad: 19 apr 2024 20:41

Ja jag kommer fram till

(n-2)! = 72 (n-4)!(n-2) (n-3) (n-4)! = 72 (n-4)!(n-2) (n-3) = 72

PQ 

(n-2) (n-3) = 72n2-5n + 6 = 72n2-5n -66 = 0


Tillägg: 19 apr 2024 20:39

Tack för hjälpen!

Svara
Close