5
svar
167
visningar
ekvation

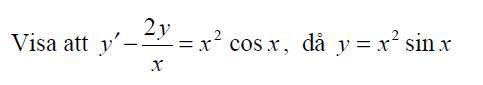
vet inte hur jag löser detta
Derivera y, och sätt in y i . Förenkla bort x:et i nämnaren, så är du nästan i mål.
Notera produktregeln:
tomast80 skrev:Notera kedjeregeln:
Det där är väl ändå produktregeln?
basinski skrev:
vet inte hur jag löser detta
Din derivata stämmer inte.
Du ska använda produktregeln som tomast80 tipsade om.
Låt och .
Då är och alltså
Teraeagle skrev:tomast80 skrev:Notera kedjeregeln:
Det där är väl ändå produktregeln?
Helt rätt Teraeagle! Har ändrat mitt inlägg nu.