Ekvation
hej
kan någon hjälpa mig att svara på följande uppgift:
Hitta värdet på x,y,z
Ska man börja med att derivera båda leden så man får och sedan sätta in värden för y och z i den första ekvationen? jag provade att göra det men jag tyckte inte att det verkade fungera så jag blev osäker om jag började på fel sätt.
Hej!
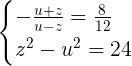
Med hjälp av Konjugatregeln kan ekvationerna skrivas såhär.
Inför beteckningarna och och vilket ger de ekvivalenta ekvationerna
och
och
.
Dividera ekvation (3) med ekvation (1) för att få ekvationen . Sätt in detta i ekvation (2) för att få ekvationen
Detta ger dig två möjliga värden som kan anta, vilka i sin tur ger dig två möjliga värden som kan anta. Ekvation (1) ger dig sedan två möjliga värden som kan anta.
Lös sedan det linjära ekvationssystemet
.
Albiki
Hur kom du på tanken att derivera? Det gör man väl aldrig vid ekvationslösning.
Låt u=x-y, flytta över okända termer till vänstersidan i alla ekvationer, dela ekvation ett med ekvation två för att erhålla systemet:
