2 svar
113 visningar
Themather1234 behöver inte mer hjälp
Themather1234 148 – Fd. Medlem
Postad: 30 sep 2021 16:09

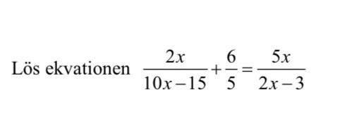
Ekvation

Hej! Har kört fast på den här uppgiften, tacksam för hjälp

Smutstvätt 23653 – Moderator
Postad: 30 sep 2021 16:15

Vilken är bråkens minsta gemensamma nämnare? :)

ItzErre 1575
Postad: 30 sep 2021 16:48

Bryt ut 5 från den första nämnaren 

Svara
Close