1 svar
111 visningar
Xxtv 73
Postad: 7 apr 2022 09:43

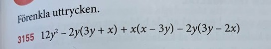
Ekvation

Jag har kommit fram till 12y2-xy+x2-12y

Ingen aning vad jag ska gå bort y från ekvationen. 

Jan Ragnar 2146
Postad: 7 apr 2022 10:00

y2-termerna har du summerat fel. Några y-termer finns inte med. Försök på nytt!

Svara
Close