2
svar
82
visningar
Fritzzz behöver inte mer hjälp
ekvation
Hej har fastnat på denna ekvation och räknat om fler gånger men får ej till ett svar som i facit.
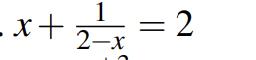
såhär ser ekvationen ut

jag börjar med att få HL till samma nämnare så att jag kan få bort den ensamma kvoten och därifrån förenklar jag men det blir bara fel. Hur ska man tänka vid dessa ekvationer ?
tack på förhand för all hjälp!
Minska båda leden med x så får du
1/(2-x) = 2 - x
Jan Ragnar skrev:Minska båda leden med x så får du
1/(2-x) = 2 - x
tack så mycket nu fick jag till det !