4
svar
103
visningar
Ekvation
Hej!
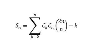
Jag behöver hjälp med den här ekvationen nedan.
n och k har jag, där n = 39 och k=0

Vad menar du med att k = 0? k är ju en "dummy"-variabel i det där sambandet? Eller vill du bara beräkna den term då k = 0 och n = 39?
Ja okej, nä jag vill räkna u Sn där n är = 39. Trodde k var =0 men du har rätt där.
lisafrida, innan det hr gått 2 timmar kan du redigera ditt inlägg, så då slipper du att skriva ett nytt. Om någon har svarat på inlägget, är det bra att du inte redigerar så mycket att den kommentarenblir obegriplig (men det skulle inte ha varit tillämplig ti det här fallet). /moderator