Ekvation
Hej!
Jag förstår inte hur man löser följande:
SQRT(12.5^2-X^2) + SQRT(90.5^2-X^2) = 97.5
Skulle behöva lite vägledning. Jag vet svaret och har gjort det på en massa olika sätt och jag förstår inte hur man gör helt enkelt.
X= 2,75 ?
Nej, det ska bli 9.96 för att vara korrekt. Ja, annars är uppställningen fel då men jag tror inte det. Det är för att hitta skärningspunkterna mellan två överlappande cirklar enligt tråd: https://www.pluggakuten.se/trad/intersecting-circles/
Är ekvationen som du vill lösa ?
Ja precis, jag kan inte få fram något annat svar på X än 2.75.
Börja med att kvadrera båda led. Tänk på att du behäver använda en kvadreringsregel! Hur ser ekvationen ut när du har gjort detta?
Jag får det såhär:

Dkcre skrev:Jag får det såhär:
Nej. Kvadrera båda led, och tänk på att (a+b)2 = a2+2ab+b2. I det här fallet göller det att och .
Det sprang iväg lite i svårighetsgrad.
Men varför är det + på 12.5^2 + X^2 där? Felskrivning?
Såhär då, nedanför pennan:

Nej, det stämmer inte - jo första och sista delen är rätt, men inte i mitten.
Okej..
Men varför är uttrycken + mellan kända värden och X? De skrivs ju - i ursprungliga uttrycket.

Dkcre skrev:Okej..
Men varför är uttrycken + mellan kända värden och X? De skrivs ju - i ursprungliga uttrycket.
Kvadreringsreglerna.
Förenkla parentesen!
Då får jag samma värden som du sa var fel tidigare.. eller nej, upphöjt till 2 försvinner på samtliga sen blir det 12.5x90.5 etc istället tror jag. Ska utföra det om en stund här.
Men enligt kvadreringsreglerna så är ju första uttrycket (12.5-X)(12.5+X) annars kan ju inte slutresultatet bli (12.5^2-X^2).
Men varför är uttrycken + mellan kända värden och X? De skrivs ju - i ursprungliga uttrycket.
Det ska vara minus.
Upphöjt till 2 försvinner inte som du tänker.
Glöm inte kvadreringen av högerledet.
Nu blev det såhär:
Tredjegradstermen känns fel.

Det ska som sagt vara minus i början och slutet av vänsterledet och under rottecknet.
Vart har rottecknet tagit vägen?
Du har konsekvent räknat "något upphöjt till 2" som "något gånger 2".
Det blir ingen x3-term men en x4-term under rottecknet.
Jag antar att du måste flytta över allt som inte är rot till högerledet och kvadrera en gång till.
Om det finns något knep som jag inte ser.
Var har du hittat denna otrevliga ekvation?
Jag tog bort det och tog bort en rot ifrån samtliga termer. Det är för att det enligt regeln var a^2 + 2ab +b^2. Gick blint efter regeln istället för att tänka. Jag får börja om från början tror jag.
Här är målet, att hitta X värdet för skärningspunkterna mellan två cirklar som överlappar. Man känner till r,R och h.

Aha. Ja, ekvationer här på PA brukar inte innehålla termer som 1279726,5625.
Du gör elementära fel som du bör tänka igenom.
.
Och .
Ja, har märkt det.
Är du med på varför det är fel?
Räknade på det och det blir inte så bara, helt enkelt. Men jag är inte med mer än så.
, så utan 2ab under rottecknet blir det något annat (som man inte kan förenkla fram).
, men det finns ingen anledning att tro att något motsvarande skulle gälla för addition av rötter.
Är detta en uppgift från en mattebok?
Okej, tack för informationen. Nej, det är ingen uppgift från en bok. Det är en del av geometrin till en komponent som ska bearbetas.
jag tror inte man kan lösa denna uppgift med konventionella metoder, det känns som att måste införa någon ny variabel eller någon annan metod. kvadrering/konjugatreglerna räcker inte för att göra denna uppgift
Sökte och på stackexchange föreslog man ett ekvationssystem, fast det var lite för mycket att bita i för mig.
Märkligt att det ska vara så svårt. Spontant känns det som att det borde vara ganska enkelt. Man har två cirklar med given radie, man kan bilda två rätvinkliga trianglar, vet höjden mellan centrum etc..
Varför kvadrerar man termerna med varandra överhuvudtaget? Det är ju ett + tecken mellan dem.
Men det ska väl gå som jag skrev tidigare: Utgå från en rättad version av ekvationen i #12. Byt ut x2 mot t, samla allt annat än roten i höger led. Kvadrera en gång till.
Annars kanske man kan införa några fler obekanta i figuren och ställa upp ett ekvationssystem med enklare ekvationer.
Varför ska man kvadrera termerna i VL? Hur vet man att man ska göra det?
Kvadrera båda leden för att få bort rottecknet.
Alltså efter att du flyttat över allt utom roten till HL.
Och bytt x2 mot t för att inte få en fjärdegradsekvation.

Men jag är inte med från första början egentligen.
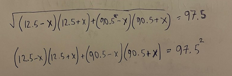
Sqrt(12.5-x)(12.5+x) + sqrt(90.5-x)(90.5+x)
Detta blir sedan alltså enligt regeln a^2 -2ab +b^2 om jag förstår det rätt? Varför det?
Du har skrivit om ursprungsekvationen med konjugatregeln.
Jag kan inte se att det hjälper oss.
Trodde att det var det ni gjorde ^^'
Vad har vi gjort då? Kvadratkomplettering?
Kvadrerat båda leden i ursprungsekvationen med kvadreringsregeln.
Det ger ekvationen i #29.
Okej. Söker på regeln och den verkar ta upp exempelvis: (a+b)^2 = a^2+b^2+2ab
Här har vi istället a^2 - b^2.
Så (a)(a)+(b)(b).. vilket kan skrivas om till (a+b)^2 kanske iofs
När vi använder kvadreringsregeln här motsvaras a av och b av .
Måste läsa på om hur man härleder kvadreringsregeln. Jag förstår inte hur två separata uttryck adderade med varandra kan transformeras till a^2+2ab+b^2.
Får försöka mer imorgon.
Kvadreringsregeln (den första) härleds genom att man multiplicerar ihop (a+b)(a+b).
Det är nog något annat du missförstått här.
VL i ursprungsekvationen är summan av två rötter.
Vi kvadrerar båda leden med första kvadreringsregeln och får då ekvationen i #29.
Ena roten i kvadrat + dubbla produkten av rötterna + andra roten i kvadrat.
Men att vi fortfarande har ett rotuttryck gör att vi får kvadrera ekvationen en gång till.
==========
Eftersom alla sidor i den stora triangeln är kända kan uppgiften lösas med cosinussatsen.
Tillägg: 22 jan 2024 10:45
Med cosinussatsen fick jag x 9,96 som du skrev i #3.
Hur räknades det resultatet fram?
Att använda cosinussatsen är det enklaste.
Att fortsätta med ekvationen i #29 är möjligt.
Men näst enklast verkar vara att införa en till obekant i figuren. Jag har valt en sträcka som jag kallar a.
Sedan Pythagoras sats på de två mindre trianglarna.
x2 + (12,5 - a)2 = 12,52
x2 + (85+a)2 = 90,52
Lös ut x2 i båda ekvationerna, sätt högerleden lika och beräkna a. Jag fick a=4,95.
Insättning i endera ekvationen ger x 9,96.
Frågan är hur stor noggrannheten är här.
Om 4,95 avrundas till 5,0 i enlighet med de andra måtten får vi x = 9,5.

Koordinaten eller värdet togs fram i ett cad-program. Kan ingenting om cosinussatsen men jag kände till att den hjälper till här ändå, tänkte läsa på om den sen när jag klarar av att lösa ekvationen här som steg ett.
Ska försöka lösa den när jag kommer hem sen. Jag fattar fortfarande inte vad ni gör för någonting exakt men ska försöka klura ut det sen.
Det är bra om du förstår hur man löser ursprungsekvationen (principen), men den är ju inte trevlig och det jag föreslog i #38 (näst efter cosinussatsen) är mycket enklare.
Absolut. Men jag gör det här för att bli duktigare och för att jag inte står ut med att inte kunna, och jag kan inte lösa den där ekvationen alls som det är nu. Det är inte ok.
Tänker att man inte kan tillåtas ta den lätta vägen om man inte behärskar den svåra.. Samtidigt så kanske det här är nödvändigt att kunna i andra fall då cosinussatsen inte är möjlig också.
Ska gå igenom #38 lösningen också sen
Kommer såhär långt nu, ser inte alls ut som tidigare. Har gjort det några gånger och jag ser inget annat.

Du är fortfarande inne på att . Det stämmer inte, se #23.
Om det varit så hade vi inte behövt kvadrera, för kvadreringen görs för att få bort rotuttrycken.
Jag hänvisar till nedanstående bild. Först visar jag två olika härledningar av första kvadreringsregeln, så att du kanske får en bättre känsla för den: en algebraisk (multiplicera ihop parenteserna) och en geometrisk (en kvadrat med sidan a + b).
För att kunna lösa en sådan här rotekvation måste vi få bort rötterna genom att kvadrera båda leden.
Vi kommer senare att få kvadrera en gång till.
När man kvadrerar kan man få s k falska rötter, vi återkommer till det.
För kvadreringen av VL använder vi kvadreringsregeln, där a i regeln blir det första rotuttrycket och b det andra.

Studera detta och se om du behöver fråga något så här långt.
Hej igen, tack för ditt svar.
Ja, jag behöver det. Är följande korrekt när jag stoppar in uttrycket i i formen (a+b)^2?
Jag undrar också vad följande blir:
Blir det:
Det var en bra bild.
Ja på båda.
Ditt andra exempel är ju ett rotuttryck i kvadrat.
Okej, bra. Ska ge det ett försök om en stund igen.
Louis skrev:Ja på båda.
Ditt andra exempel är ju ett rotuttryck i kvadrat.
En fråga till, det här måste ju bli dubbla paranteser. det vill säga ((a1+a2) + (b1+b2)) ((a1+a2) + (b1+b2))
Vad ska det uttrycket motsvara?
Är det något i användandet av kvadreringsregeln i #43 som du är oklar över?
Resultatet så långt ser ju inte trevligare ut (tvärtom), men vi måste som sagt kvadrera en gång till,
efter att allt som inte är rot samlats i HL.
Här kan du läsa om enklare rotekvationer.
Jag vet inte..
Nej om man ska multiplicera varje term under varje uttryck med samtliga termer i uttrycken inom andra parantesen eller om exempelvis (12.5^2-X^2) ska ses som ett värde.
Blir det här rätt?

Du krånglar till det. #43 visar hur du gör, hur du använder kvadreringsregeln och vad det blir.
Allt i det här första steget står där. Gör inget eget i det här stadiet utan se om du förstår vad som står där.
Är du med på hur första kvadreringsregeln funkar?
Första termen i kvadrat plus dubbla produkten plus andra termen i kvadrat.
Så som härledningarna i bilden visar.
Berätta gärna vad det är för studier du bedriver. Är det Matte 1? Du hoppar ju gärna på områden över den nivån. Rotekvationer ligger över. Lösningen i #38 är på Matte 1-nivå. Tänker jag.
Ville inte hoppa direkt på regeln när jag inte kan härleda till den, det är ju att ta enorma genvägar. Men jag försöker det ändå.
Jag ska hoppa på matte 3 efter statistik kapitlet. Och inte för att vara överdrivet negativ sådär, men det har nog mycket mer med begåvning att göra än vilken nivå av matte man läser, ja, även om de hänger ihop ganska bra. Jag lägger ned extremt många timmar på det här, ändå fattar jag ingenting. Läser hur mycket som helst, kollar på YT, försöker vara kritisk och tänka ifrån andra perspektiv på varje uppgift jag gör. Det ter sig ändå som näst intill magiskt i alla fall så fort det blir svårt. Men det är vad det är, vägrar ge mig i alla fall.
Ville inte hoppa direkt på regeln när jag inte kan härleda till den, det är ju att ta enorma genvägar.
Menar du kvadreringsregeln? Jag visade två olika härledningar i bilden. Är du inte med på dem?
men det har nog mycket mer med begåvning att göra än vilken nivå av matte man läser,
Det har med studieteknik att göra. Att inte gå vidare, och framför allt inte hoppa, förrän man behärskar de moment man hållit på med. Du har ju en del luckor på lägre nivå, och du kanske snarare ska hoppa dit.
Det är ju positivt att du reflekterar över det du gör och vill pröva egna vägar, men först bör du lära dig standardmetoderna, de konventionella benämningarna (jag har ju anmärkt på att du ibland uppfinner egna) och sätten att ställa upp lösningar. Studera färdiga lösningar för att se att du förstår dem. T ex studera #43 och se om du förstår vad som står där.
Jag är fortfarande nyfiken på vilka kurser du läser och var/hur (gymnasieklass eller på annat sätt).
Den här gången har jag det här uttrycket:
Jag vet att du skrev att det skulle vara -, men jag förstår inte hur ett negativt värde multiplicerat med ett annat negativt värde blir -.
Men ska det vara negativt så är det så.

Louis skrev:Ville inte hoppa direkt på regeln när jag inte kan härleda till den, det är ju att ta enorma genvägar.
Menar du kvadreringsregeln? Jag visade två olika härledningar i bilden. Är du inte med på dem?
men det har nog mycket mer med begåvning att göra än vilken nivå av matte man läser,
Det har med studieteknik att göra. Att inte gå vidare, och framför allt inte hoppa, förrän man behärskar de moment man hållit på med. Du har ju en del luckor på lägre nivå, och du kanske snarare ska hoppa dit.
Det är ju positivt att du reflekterar över det du gör och vill pröva egna vägar, men först bör du lära dig standardmetoderna, de konventionella benämningarna (jag har ju anmärkt på att du ibland uppfinner egna) och sätten att ställa upp lösningar. Studera färdiga lösningar för att se att du förstår dem. T ex studera #43 och se om du förstår vad som står där.
Jag är fortfarande nyfiken på vilka kurser du läser och var/hur (gymnasieklass eller på annat sätt).
Jo, där ser man ju direkt. Men det är ju ett betydligt enklare uttryck än det som är här. Svårt att överföra alla regler rakt av.
Jag vet inte riktigt faktiskt, har gått igenom alla uppgifter i böckerna jag har tills jag förstått dem. Allt som krävs för att jag inte ska klara det är att det ser lite annorlunda ut. Har inte stött på precis det här tidigare exempelvis, då går det inte.
Jag "uppfinner egna" för att jag inte vet vad jag ska göra. Det är inte så enkelt. Jag försöker i alla fall.
Är vuxen och är klar med Matte2ABC, vilken jag har gjort tidigare i gymnasiet men behöver lära om. Har som målsättning att läsa till linjär algebra helst. Men tror inte det är aktuellt. Försöker bli behörig till högskola.
Jo, där ser man ju direkt. Men det är ju ett betydligt enklare uttryck än det som är här. Svårt att överföra alla regler rakt av.
Först gäller det att förstå själva kvadreringsregeln (med a och b).
Sedan ska den tillämpas på denna komplicerade uppgift. Jag vet inte om jag vill kalla det att överföra, snarare att stoppa in. Vad jag försökte visa i bilden var hur du tar de givna rotuttrycken och stoppar in dem i regeln.
Byter ut a mot ena roten och b mot andra roten och skriver ut vad det blir.
Ett rotuttryck i kvadrat blir ju uttrycket utan rottecken.
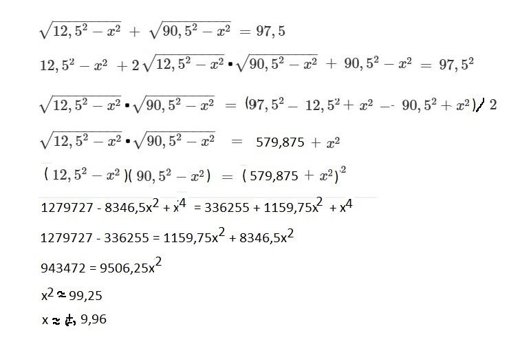
I #53 ska det vara - x2 i början och slutet. Det är ju minustecknen från originalekvationen. Ingenting har multiplicerats där.
Första termen under rottecknet är rätt, resten är inte rätt, jag får 1279727 - 8346,5x2+ x4. Då har jag kvadrerat första termen och avrundat till heltal. Någon x3-term kunde det omöjligt bli.
Jag försöker i alla fall
Fortsätt kämpa!
Hur kan man konstant missuppfatta precis allting, jag fattar verkligen inte hur det går till.. Får försöka imorgon igen då.
Nu kom jag såhär långt, försökte gå direkt efter regeln nu. Kan inte se hur X^4 kommer till. Upprepade alltså exakt samma sak ser jag. Jag kan inte se vad jag gör fel.
eller okej, potensregeln a^x+b^x = (ab)^2 är vad jag inte är med på.

x2.x2 = x4
Jag skulle ha kvar 2:an utanför rotuttrycket. Det blir enklare totalt sett.
När du ändå multiplicerar in den blir det rätt för de tre första termerna, eftersom det blir 22*1131,252 = (2*1131,25)2 = 2262,52 osv. Var det så du tänkte? Men sist får du 2x3, där det ska vara 4x4.
potensregeln a^x+b^x = (ab)^2 är vad jag inte är med på
Någon sådan regel finns inte. Det närmaste är ax*bx = (ab)x.
Som du (kanske) använde ovan.
Hur ser det ut nu?
Är det rätt så har jag kört fast i alla fall..

Nvm
Louis skrev:Jag skulle ha kvar 2:an utanför rotuttrycket. Det blir enklare totalt sett.
När du ändå multiplicerar in den blir det rätt för de tre första termerna, eftersom det blir 22*1131,252 = (2*1131,25)2 = 2262,52 osv. Var det så du tänkte? Men sist får du 2x3, där det ska vara 4x4.
potensregeln a^x+b^x = (ab)^2 är vad jag inte är med på
Någon sådan regel finns inte. Det närmaste är ax*bx = (ab)x.
Som du (kanske) använde ovan.
Så det blir 4X^4? :/... nej, det förstår jag inte. Det måste bli 2X^4
Ja, skrev väl fel tecken där.
Okej, jag gör helt fel med 2an där misstänker jag. Även om det skulle vara rätt har jag glömt att multiplicera in den för X termen där. Får skriva om allt igen.
Vart kommer 2^2 ifrån? Regeln är ju 2ab
Om vi tar exemplet , vad blir det om du multiplicerar in 2:an under rottecknet?
Skulle spontant säga att det måste bli.. som det står, egentligen. Eller alternativt
kanske
Jo, men om du vill multiplicera in 2:an under rottecknet som du gjorde i #60 (fast rätt).
Jag ser ingen koppling mellan ditt exempel och uppgiften. Jag kan bara få det till
Eller om 2x^1/2 är korrekt så kan det även skrivas om som kanske
Om du säger att det blir säger du att 2 och är samma sak.
Och i ditt sista förslag blir x förvandlat till x4.
Fast där stämmer.
En faktor före en rot måste kvadreras om den ska in under rottecknet.
Detta att tänka på om du väljer att multiplicera in 2:an under rottecknet.
Kanske gör du ett dubbelfel som gör att det blir rätt för de tre första termerna.
Men det blir 4x4 sist.
Det är mycket att kontrollera i #60.
4:an i x4-termen försvinner, kommer tillbaka och försvinner igen.
Det måste vara något annat fel också.
Men att samla allt som inte är rot i ena ledet och sedan kvadrera igen är helt rätt.
Här är min lösning där inte alla räkningar är redovisade.
Jag har gjort några avrundningar som inte påverkar resultatet.
Som du ser multiplicerade jag inte in 2:an i roten utan delar båda leden med 2.

Okej, tack
Ser lätt ut
Pröva den enklare lösningen i #38 också.
Måste göra den här ifrån början för hand först. Med både din och min metod. Sedan ska jag göra den ifrån början utan att hoppa till slutsteget i regeln. Efter det ska jag göra om samma sak igen men reflektera över varför varje steg utförs som det gör, och se till att jag verkligen kan besvara det för mig själv, istället för att gå efter ett inlärt mönster om hur man ska göra.
Sedan ska jag göra din andra lösning där. Och lära mig sinus och cosinussatsen.
Men inte nu, känner mig lite ledsen och besegrad. Sedan behöver jag slänga ihop ett par matlådor till resten av veckan också.
Det låter som en bra plan. Återkom när du har fler frågor (om denna uppgift och andra).
Tack så mycket :)
Fanns redan ett svar
Nu hade jag hunnit skriva detta:
Ser du dubbelfelet som jag tror du gjorde tidigare?
Du multiplicerade in 2:an okvadrerad och fick 2*1131,252.
Nästa fel var att du fick detta till 2262,52.
2a2 är ju inte (2a)2.
Men 22*1131,252 är ju faktiskt 2262,52 enligt potenslagen ax*bx = (ab)x.
Jag försöker men jag förstår inte helt då svaret ändå blir korrekt oavsett vad vi multiplicerar med, det där felet är ju svårt att se då det nästan alltid blir korrekt i alla fall? Hade vi multiplicerat 1131.25 med 3 så gäller potenslagen i alla fall. Eller det blir bara såhär för att vi bara tar en roten ur, samt att termerna enbart är kvadrerade. Hade de varit i kubik eller annat hade förhållandet inte funkat?
Gjorde allting igen nu och multiplicerade in 2an, fick svaret X=8.95. Känns som att jag bara skrivit en siffra fel någonstans, får se. Gör om det imorgon igen.
Ibland kan två fel ta ut varandra så att svaret blir rätt.
Men det gör inte räkningarna rätt.
Och x4-termen på slutet blev inte rätt.
Det viktiga här är att när en faktor multipliceras in under ett rottecken måste den kvadreras.
Förstår. Tack
Har gjort om det här några gånger under kvällen och får inte till det. Ser inte vart jag gör fel. Misstänker att det är här någonstans:
jaha, glömmer av exponenten på 12.5 och 90.5 när jag multiplicerar med X

Det är 2:an som ska in under rottecknet, då som en faktor 4. Du multiplicerar riktigt x4 med 4, men de två x2-termerna multiplicerar du bara med 2.
Trodde vi kom fram till att det blir samma sak i just det här fallet..
eller jaha det gällde bara 1131.25 värdet alltså. Okej.
1131.25^2. Roten ur det är ju 1131.25. Dubbla roten måste vara 2262.5. Så SQRT2262.5^2 är dubblerade värdet.
Jag talar om att du har tagit 2*(-12,5x2) och 2*(90,5x2) i stället för 4*(-12,5x2) och 4*(90,5x2).
Edit: 12,5 och 90,5 ska också vara kvadrerade.
Som du gjorde när du tog 4*x4.
Resten ser rätt ut. Så när som på att du kvadrerat vänsterledet men ännu inte högerledet.
Har gjort om det här på kanske 10 A4 totalt nu, bantade ner det lite.
Nu försökte jag med det med åker fast på att X termerna tar ut varandra, ser återigen inget fel..

Nu är rotuttrycket rätt. Jag tittade slarvigt tidigare och såg inte att x2-termernas koefficienter inte var kvadrerade (#78).
Samla allt som inte är rot i ena ledet som du gjorde i #78, räkna ihop taltermerna och kvadrera sedan båda leden.
Ja, men jag har ju lyckats få -33386x^2 på båda sidor så flyttar jag dem har jag inget X värde kvar alls. Har gjort om räkningen ett par gånger nu och jag kan inte se något fel.
Jag förstår inte vad du gör. Fortsätt från din sista rad i #78, men med det rättade rotuttrycket och högerledet kvadrerat (eftersom du redan kvadrerat vänsterledet där).
? Jag kvadrerar rottermen och 97.5 igen och kvadrerar sedan VL som är 8346.5-2x^2 som resulterar i samma antal X^2 som i rotuttrycket. Det är slarvigt gjort för någon annan, skulle ha skrivit dit VL i parantes upphöjt till 2
får kolla imorgon igen
Rotuttrycket måste vara ensamt i ena ledet när du kvadrerar det, annars får du fortfarande en rot när du använder kvadreringsregeln. Det ser ut som att du inte använt den regeln utan tagit (a+b)2 = a2 + b2, alltså utan + 2ab. Flytta över 97,52 till VL och förenkla innan du kvadrerar båda leden.
Tillägg: 25 jan 2024 11:47
Men du använde kvadreringsregeln rätt i VL.
Där satt den! Stiligt!
Jag vet inte varför du inleder fjärde raden med att skriva parentesen en extra gång.
För ordningens skull bör du skriva x = +(-)... på näst sista raden. Alltså att det finns en negativ rot som förkastas.
Frågan är hur många decimaler det ska vara i svaret. Övriga mått har bara en decimal.
Louis skrev:Att använda cosinussatsen är det enklaste.
Att fortsätta med ekvationen i #29 är möjligt.
Men näst enklast verkar vara att införa en till obekant i figuren. Jag har valt en sträcka som jag kallar a.
Sedan Pythagoras sats på de två mindre trianglarna.x2 + (12,5 - a)2 = 12,52
x2 + (85+a)2 = 90,52
Lös ut x2 i båda ekvationerna, sätt högerleden lika och beräkna a. Jag fick a=4,95.
Insättning i endera ekvationen ger x 9,96.
Frågan är hur stor noggrannheten är här.
Om 4,95 avrundas till 5,0 i enlighet med de andra måtten får vi x = 9,5.
Hur ska man göra det du beskriver här? Förstår inte vad sätt högerleden lika betyder.
Jag får det till:
X^2 = -25a + a^2
och
X^2 = 965.25 -170a + a^2
Ersätter jag X2 med a och sätter in i den andra får jag a = 6.65
Ska kanske betrakta X^2 som a och (12.5-a)^2 som b och göra kvadreringsregeln som tidigare..nej..verkar fel ändå
Louis skrev:Där satt den! Stiligt!
Jag vet inte varför du inleder fjärde raden med att skriva parentesen en extra gång.
För ordningens skull bör du skriva x = +(-)... på näst sista raden. Alltså att det finns en negativ rot som förkastas.
Frågan är hur många decimaler det ska vara i svaret. Övriga mått har bara en decimal.
Haha ja..tack.
Försöker mest göra det tydligt för mig själv vad som händer än att följa hur man ska göra.
Det med roten ja, jo, det är bra att skriva det för rutinens skull. Ja, och för att det är korrekt naturligtivs ^^'
X^2 = -25a + a^2
X^2 = 965.25 -170a + a^2
Rätt siffror men tre teckenfel, kolla igen.
Om du har två olika uttryck för x2 kan du sätta dem lika, alltså högerleden i ekvationerna du skrev.
Så att du får en ekvation med bara a.
Du kan också använda additionsmetoden för ekvationssystem, här att subtrahera den första ekvationen (av dem jag skrev) från den andra.
Ersätter jag X2 med a
Är inte med på vad du menar här, x och a är ju olika sträckor. Men hur som helst, rätta tecknen och lös ekvationen med bara a.
Louis skrev:X^2 = -25a + a^2
X^2 = 965.25 -170a + a^2
Rätt siffror men tre teckenfel, kolla igen.
Om du har två olika uttryck för x2 kan du sätta dem lika, alltså högerleden i ekvationerna du skrev.
Så att du får en ekvation med bara a.
Du kan också använda additionsmetoden för ekvationssystem, här att subtrahera den första ekvationen (av dem jag skrev) från den andra.Ersätter jag X2 med a
Är inte med på vad du menar här, x och a är ju olika sträckor. Men hur som helst, rätta tecknen och lös ekvationen med bara a.
Gjorde om det igen nu och ja, det var väldigt enkelt. Ja det du beskriver är väl en form av substitionsmetoden egentligen. Det var betydligt lättare som du sa i alla fall. Lite irriterande att jag inte sett den lösningsmetoden förut..
Gillar för övrigt inte additionsmetoden, dessutom känns den lite onödig på något sätt. Substititionsmetoden känns smidigare och tror inte additionsmetoden är direkt nödvändig i något scenario(?)
Tänkte gå igenom cosinus satsen nu, är det inte korrekt att säga att den utgår lite ifrån samma princip som första ekvartionen här, men istället för att kolla förhållandet mellan två rätvinkliga trianglar som kan bildas i en triangel så kollar den hur mycket två stycken trianglar har avvikit i vinkel (om de har det) ifrån en rätvinklig triangel?
Gillar för övrigt inte additionsmetoden, dessutom känns den lite onödig på något sätt. Substititionsmetoden känns smidigare och tror inte additionsmetoden är direkt nödvändig i något scenario(?)
Det där är förstås en smaksak, själv tycker jag ofta att additionsmetoden är trevligare. Beror också på hur ekvationerna ser ut.
Trigonometri är ett område som jag i mycket tappat kontakten med. Jag vet inte om man kan beskriva cosinussatsen som du föreslår. Den handlar ju om en triangel, där man i det här fallet vet alla sidorna och ska beräkna en vinkel. Här t ex den nedersta vinkeln i figuren. Men för beviset kan man dra en höjd som delar triangeln i två rätvinkliga. Läste jag i Wikipedia.
Louis skrev:Gillar för övrigt inte additionsmetoden, dessutom känns den lite onödig på något sätt. Substititionsmetoden känns smidigare och tror inte additionsmetoden är direkt nödvändig i något scenario(?)
Det där är förstås en smaksak, själv tycker jag ofta att additionsmetoden är trevligare. Beror också på hur ekvationerna ser ut.
Trigonometri är ett område som jag i mycket tappat kontakten med. Jag vet inte om man kan beskriva cosinussatsen som du föreslår. Den handlar ju om en triangel, där man i det här fallet vet alla sidorna och ska beräkna en vinkel. Här t ex den nedersta vinkeln i figuren. Men för beviset kan man dra en höjd som delar triangeln i två rätvinkliga. Läste jag i Wikipedia.
Ja naturligtvis.
Okej, tack så mycket i varje fall för allting.
Önskar att jag var lika intresserad av detta när jag var 10 eller någonting. Eller, det var man väl egentligen, men levde i ett sånt klimat och med bekantskaper som inte ville rikta utvecklingen i den riktningen. Nåja. Pluggar du och är här för att förankra dina kunskaper och hjälpa andra eller för att det är ett trevligt tidsfördriv?
Jag är pensionär. Var mattelärare för mycket länge sedan (högstadiet). Har glömt det mesta av den högre gymnasiematten. Tycker att det är roligt att försöka hjälpa till här. Och en del problem, speciellt geometriska, tycker jag för egen del är rolig hjärngymnastik.
Okej, intressant. Hade tyckt att det var roligt att vara mattelärare, i teorin i varje fall, men det känns som att det hela beror väldigt mycket på vad man har för elever. Inte nödvändigtvis att de måste ha särskild fallenhet, men att de i varje fall försöker och har en ok attityd. Kanske förvisso skulle vara lite kul att förändra attitydproblem också.
Jag programmerar bearbetningsmaskiner till vardags, och försöker att göra det utan mjukvara vid tillfällen, så då måste jag räkna ut en massa skärningspunkter för hand. Skriva program som följer formler och annat. Det är väldigt roligt. Så tycker också geometri är skoj. Har mycket att lära, än, men ska bli mycket bättre.
Bra att ha någonting man tycker är roligt att göra som pensionär. Tror det farligaste man kan göra är att inte försöka fylla ut tiden med saker man tycker är värdefulla.
Ja, programmering var tidigare ett stort intresse. Jag gjorde bl a ett schemaläggningsprogram för skolor. Nu har jag lite olika intressen och sysselsättningar, varav att vara här är ett. Läggdags nu. På återhörande!


