2
svar
91
visningar
fysik3 behöver inte mer hjälp
ekvation
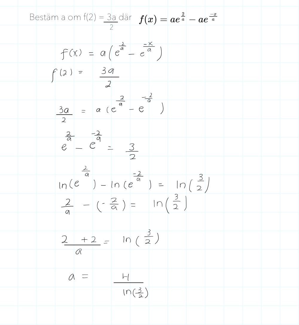
Mitt svar och facits svar överensstämmer inte, jag förstår inte vad som är fel. Jag har ju följt logaritmlagarna varför blir det då fel?

är det i det femte steget som det börjat gå snett?
ln(x-y) = ln(x) - ln(y) är inte en giltig regel.
Bör det alltså bli så här?