Det stämmer säkert (glömt ett "i" på z_1)
Kolla även med
Trinity2 skrev:Det stämmer säkert (glömt ett "i" på z_1)
Kolla även med
Får inte in ekvationen där
Trinity2 skrev:Det stämmer säkert (glömt ett "i" på z_1)
Kolla även med
Detta får jag upp som svar. Det är annorlunda, men är denna pålitlig?
Rätt är det, men det är en "ovanlig form". Ber man Mathematica expandera det får man

vilken eg. inte heller är snyggt då det har rotuttryck i nämnarna.
Numeriskt blir det

Kanske du kan beräkna de 3 unika uttrycken i ditt svar och jämföra.
Trinity2 skrev:Rätt är det, men det är en "ovanlig form". Ber man Mathematica expandera det får man
vilken eg. inte heller är snyggt då det har rotuttryck i nämnarna.
Numeriskt blir det
Kanske du kan beräkna de 3 unika uttrycken i ditt svar och jämföra.
Känns jätterörigt, hur hade du svarat på denna uppgift? Känns väldigt avancerat...
Jag skulle svarat på polär form.
Vinklarna kan man uttrycka som (2k+1)*pi/6, för k=0,1,2,3,4,5.
Bubo skrev:Jag skulle svarat på polär form.
Vinklarna kan man uttrycka som (2k+1)*pi/6, för k=0,1,2,3,4,5.
Hade du alltså svarat:
(2k+1) ?
Ja, de vinklarna.
Använd gärna en annan symbol för multiplikation. Formeleditorn tror att det är text.
Bubo skrev:Ja, de vinklarna.
Använd gärna en annan symbol för multiplikation. Formeleditorn tror att det är text.
Men förstår inte riktigt hur jag ska skriva hela ekvationen fullständigt liksom...
Bubo skrev:Ja, de vinklarna.
Använd gärna en annan symbol för multiplikation. Formeleditorn tror att det är text.
Så du menar?
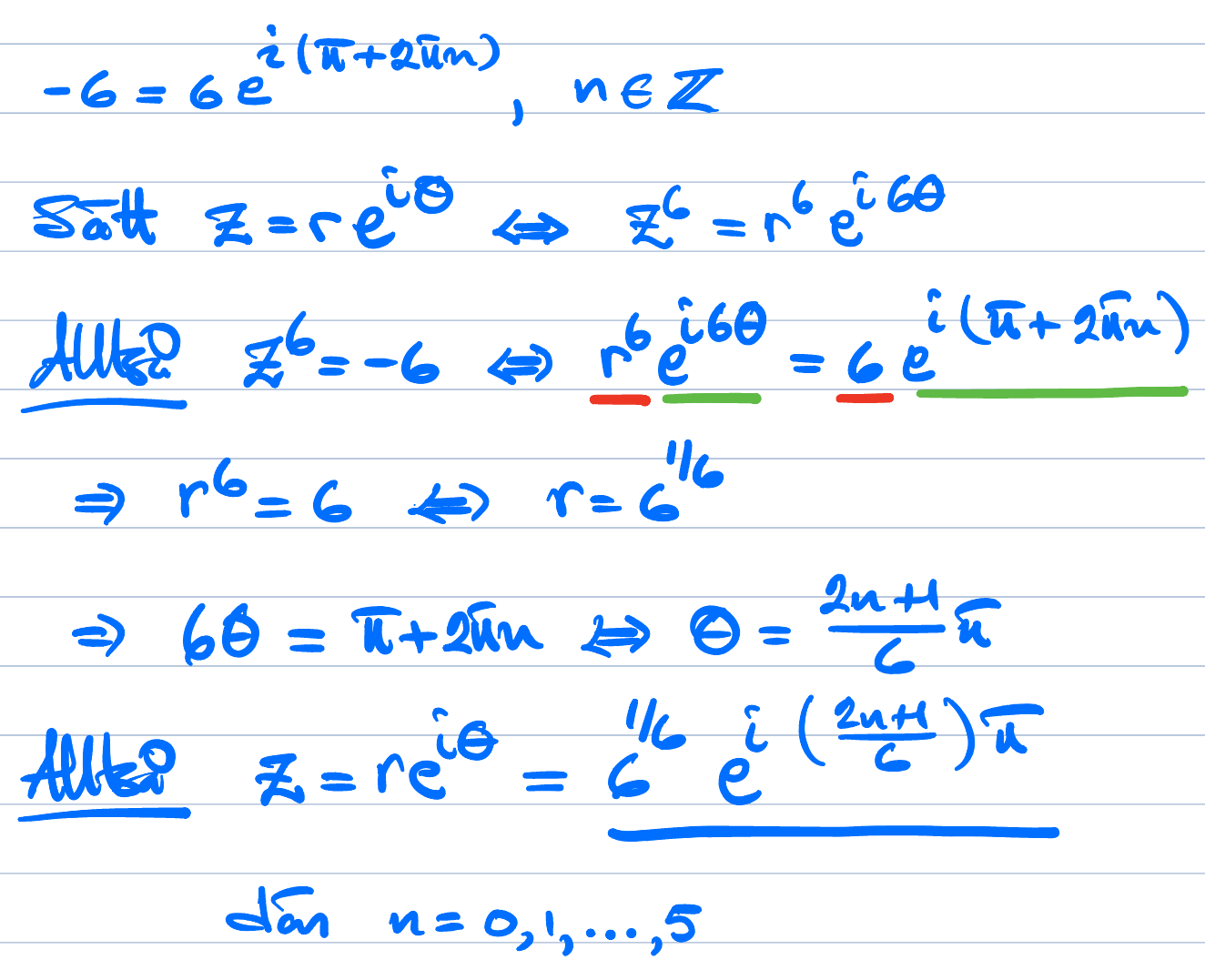
Så här hade jag räknat och svarat

Har jag fått med alla lösningar? 
