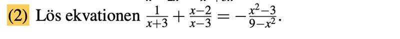
Ekvation
Varför är x = 2 ej lösning? (Facit säger att det inte finns någon lösning)


Vad är den ursprungliga ekvationen?
MrPotatohead skrev:Vad är den ursprungliga ekvationen?
sorry la till den nu
Jovisst.
1/5 + 0 = (4-3)/(9-4)
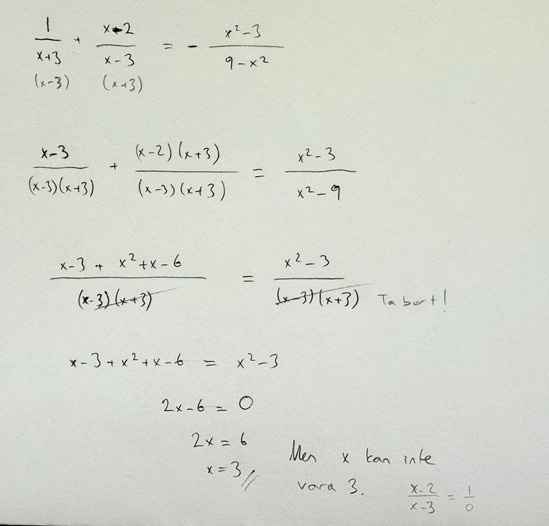
Nej, där missade jag ett minustecken.
När du löser ekvationer med nämnare blir det mindre att skriva om du multiplicerar båda leden med minsta gemensamma nämnaren, i stället för att först göra liknämnigt.
Du har teckenfel redan på första raden: minustecknet i högra ledets nämnare.
När ekvationen löses försvinner x2-termerna och svaret blir x = 3.
Som inte är ett tillåtet svar.
Louis skrev:När du löser ekvationer med nämnare blir det mindre att skriva om du multiplicerar båda leden med minsta gemensamma nämnaren, i stället för att först göra liknämnigt.
Du har teckenfel redan på första raden: minustecknet i högra ledets nämnare.
När jag löser ekvationen (om jag räknat rätt) försvinner x2-termerna och svaret blir x = 3.
Som inte är ett tillåtet svar.
fast jag har väl inte teckenfel där?
-(x+3)(x-3) = 9-x2
Då har du tappat det "stora" minustecknet som inleder högra ledet.
Louis skrev:Då har du tappat det "stora" minustecknet som inleder högra ledet.
ser inte vart jag har slarvat bort den 😕
Du kan tänka att du använder minustecknet som inleder HL till att vända 9-x2 till x2-9 = (x+3)(x-3).
Utan det minustecken som du skrivit på första raden.

Annars är 9-x2 = -(x+3)(x-3) som du skrev i #7.
Vilket kombinerat med det inledande minustecknet blir (x+3)(x-3).
Svaret är x=3 men x kan inte vara 3.
ilker skrev:Svaret är x=3 men x kan inte vara 3.
Hur kom du hit?

x2 -9 ska ju vara 9-x2
Inte om man plockar bort det tecken som Louis ringade in.
Det fanns minus tecken i början.

ilker skrev:Det fanns minus tecken i början.
Oj missade den helt, tack!!