2
svar
56
visningar
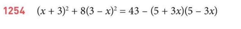
På första raden skall den avslutas med 9x^2 då blir det något helt annorlunda sedan.
AndersW skrev :På första raden skall den avslutas med 9x^2 då blir det något helt annorlunda sedan.
ok tack! :)
