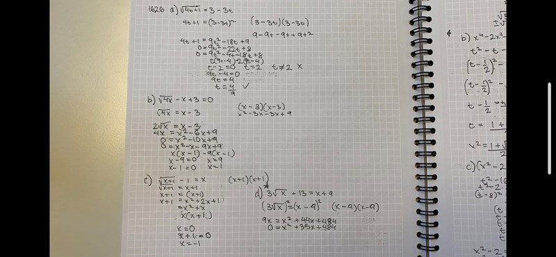
Ekvation algebraisk lösning
På b jag fattar inte vad som händer där det står 2roten ur x? Någon som kan förklara 
Yngve skrev:
vad heter den här typen av räkning där man bryter ut x från en koficient för att skapa två kvadratkompleteringar som man räknar just som man gjort på b och andra ?
Om du menar det jag just skrev så är det inte någon kvadratkomplettering utan istället en potenslag .
Detta eftersom
Yngve skrev:Om du menar det jag just skrev så är det inte någon kvadratkomplettering utan istället en potenslag .
Detta eftersom
när man löst ekvationen algebraisk så står det man ska kontrollera grafiskt hur gjorde man det ska jag bara byta ut x mot x1 och x2 som jag kommit fram till?
Nej om det står att du ska kontrollera grafiskt så ska du rita grafen till och försöka se var dess nollställen är.
Yngve skrev:Nej om det står att du ska kontrollera grafiskt så ska du rita grafen till och försöka se var dess nollställen är.
hur gjorde man det? kan du vara jättesnäll och visa ett exempel så jag kan fortsätta och slipper sitta fast
Använd din grafräknare om du har en sådan.
Annars kan du t.ex. använda onlineverktygen Desmos eller Geogebra.

Yngve skrev:Använd din grafräknare om du har en sådan.
Annars kan du t.ex. använda onlineverktygen Desmos eller Geogebra.
nej vi får inte använda verktyg vi får endast använda hjärnan finns det inte vanligt sett man kan räkna?
Yngve skrev:Använd din grafräknare om du har en sådan.
Annars kan du t.ex. använda onlineverktygen Desmos eller Geogebra.
samtidigt undrar jag exempel jag fick x2=-1 när jag lägger in det i ekvationen får jag. = odefinierad? går detta ens att räkna
mattegeni1 skrev:
nej vi får inte använda verktyg vi får endast använda hjärnan finns det inte vanligt sett man kan räkna?
Får ni inte heller använda grafräknaren?
I så fall borde ni inte uppmanas att testa grafiskt, för det innebär just att rita grafen.
Men det går utmärkt att kontrollera svaret algebraiskt, genom att sätta in lösningärna i ursprungsekvationen en i taget och se om de gäller.
mattegeni1 skrev:
samtidigt undrar jag exempel jag fick x2=-1 ...
Hur kom du fram till x2 = -1?
Visa alla steg i den uträkningen.
5 - 4 = 1, inte -1
Yngve skrev:5 - 4 = 1, inte -1
oj är det bara det felet jag har gjort eller har jag gjort rätt resten?
Du har glömt att skriva ut parenteser på ett ställe och glömt att skriva ut på ett par ställen, men annars ser det bra ut.
