3 svar
116 visningar
Froddo01 behöver inte mer hjälp
Froddo01 53 – Fd. Medlem
Postad: 24 maj 2021 13:00 Redigerad: 24 maj 2021 13:01

Ekvation av avståndsformeln

Hej!

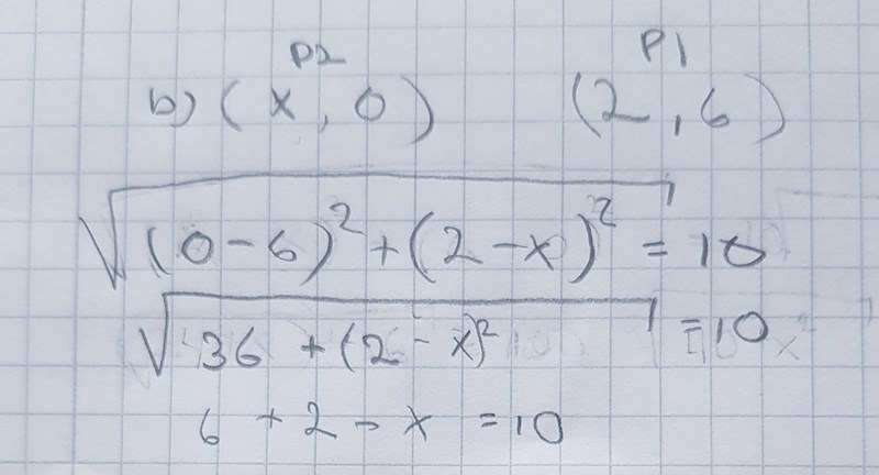
Fastnat på denna uppgift:

 

Jag har provat på lite olika sätt men får ändå fel. Mina uträkningar ser ut såhär:

Smutstvätt 23618 – Moderator
Postad: 24 maj 2021 13:08

Det blir fel när du kvadrerar båda led. Det ska bli: 

36+2-x2=1036+2-x22=10236+2-x2=100

Du bör även vara försiktig med vilken punkt du använder som start- respektive slutpunkt. 

Froddo01 53 – Fd. Medlem
Postad: 24 maj 2021 13:42
Smutstvätt skrev:

Det blir fel när du kvadrerar båda led. Det ska bli: 

36+2-x2=1036+2-x22=10236+2-x2=100

Du bör även vara försiktig med vilken punkt du använder som start- respektive slutpunkt. 

Tack för svaret. En generell fråga bara, varför måste jag kvadrera båda led? Räcker det inte med att göra roten ur på VL och att det blir svaret? Varför blir det fel om jag inte kvadrerar?

Louis 3920
Postad: 24 maj 2021 13:46 Redigerad: 24 maj 2021 13:51

Du har dragit roten ur ett uttryck bestående av två termer genom att dra roten ur varje term för sig. Det kan man inte göra. Det hade varit skillnad om det varit multiplikation i stället för addition.

a2 + b2 är inte a+b. 

Svara
Close