Ekvation av högre potens, tillvägagångssätt? (Utan räknare)
Hej,
I ekvationen:
Ser lösningen ut såhär:
Vad är det som sker i steget mellan det som är skrivet i fet stil och föregående steg i kursiv stil (Är bara som förtydligande för vilket steg jag behöver hjälp att förstå)
Tack för hjälpen i förhand :)
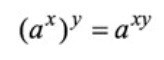
I det steget tar du båda leden upphöjt till (1/6)
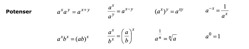
Känner du till reglerna för potenser? Från formelsamlingen:
Här kan du läsa om ekvationer med potenser: https://www.matteboken.se/lektioner/matte-1/algebra/potensekvationer
Såg att jag hade skrivit fel i ekvationen. Alltså vad jag undrar är varför potensen 4 hamnar inne i en parantes och potens 6 utanför, förstår att man vill ha 6 utanför så man kan ta . De byter plats, kan man bara göra det utan någon beräkning? Enligt formeln så betyder de samma sak så är det bara en omskrivning?
För att få likhet.
I vänster led har du något tal upphöjt till 6
och i höger led har du också ett tal upphöjt till 6.
Då båda talen på respektive sida är upphöjda till 6 så måste dessa tal vara lika.
Därför väljs den ordningen.
Att skriva om HL till något 10^6 och sen få ny ekvation med det som är upphöjt till 6 är den "smarta" vägen. Du använder då
baklänges.
Men man kan också bara "räkna på":