Ekvation cos2x
Hej.
Får inte till det.
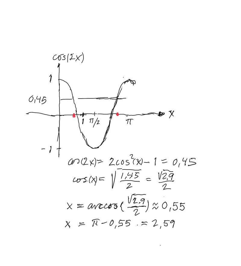
Lös cos2x = 0.45 för intervallet 0<=x<=π
Arccos båda sidor
(2x + 1.104 + n2π) / 2
X = 0.55 + nπ
Lägger jag till ett enda n där går det inte så får det till att det finns en lösning men det finns två enligt facit och den andra är så 2.59. hur kommer jag fram till det
Eller det är för att det är ok att skriva +- där vid en Cosinus funktion? Detta verkar man inte göra med dom andra funktionerna av någon anledning? Varför inte?
cos(v) = cos(2*pi - v)
som vi får från enhetscirkeln.
Sätt att du fick ut att vinkeln var 2*pi-1,104 istället, och räkna på.
Dkcre skrev:Eller det är för att det är ok att skriva +- där vid en Cosinus funktion? Detta verkar man inte göra med dom andra funktionerna av någon anledning? Varför inte?
Ja, generellt gäller att ekvationen har lösningsmängderna , där är ett heltal.
I ditt fall blir det .
Lös ut och välj det/de som gör att lösningen hamnar inom det givna intervallet.
======
Det är svårt att besvara frågan varför de inte gör så med de andra funktionerna utan att se ett exempel.
Kanske gäller det andra trigonometriska funktioner?
För sinusfunktionen gäller istället att har lösningsmängderna och
För tangensfunktionen gäller att har lösningsmängden
======
Enhetscirkeln hjälper dig att visualisera dessa samband.
Jan Ragnar skrev:
Okej, tack.
Hur går förenklingen till med √(1.45/2) till (√2.9)/2?
Eller det var inget, förlänga med 2. Tack
Yngve skrev:Dkcre skrev:Eller det är för att det är ok att skriva +- där vid en Cosinus funktion? Detta verkar man inte göra med dom andra funktionerna av någon anledning? Varför inte?
Ja, generellt gäller att ekvationen har lösningsmängderna , där är ett heltal.
I ditt fall blir det .
Lös ut och välj det/de som gör att lösningen hamnar inom det givna intervallet.
======
Det är svårt att besvara frågan varför de inte gör så med de andra funktionerna utan att se ett exempel.
Kanske gäller det andra trigonometriska funktioner?
För sinusfunktionen gäller istället att har lösningsmängderna och
För tangensfunktionen gäller att har lösningsmängden
======
Enhetscirkeln hjälper dig att visualisera dessa samband.
Tack så mycket
