2
svar
124
visningar
nyfiken888 behöver inte mer hjälp
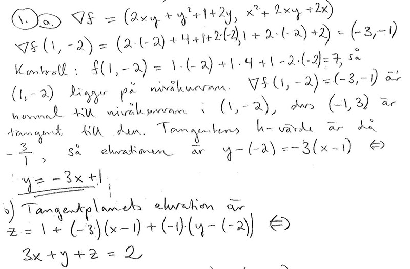
Ekvation för tangentplan
Här förstår jag inte riktigt vad man gör i b), (-1)(y-(-2)), vart kommer (-1) ifrån?


I uppgift a) bestämde du Därifrån kommer 1:an och 3:an. Om det känns mer bekvämt kan du istället studera nivåytan till . Tangentplanet i punkten ges av
Tangentplanet är en linearisering runt punkten, så ekvationen är . De partiella derivatorna räknade du ut i a-uppgiften. -1 är specifikt derivatan med avseende på y.