3
svar
126
visningar
ivano_eai behöver inte mer hjälp
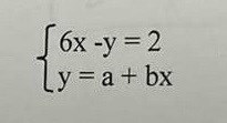
Ekvation, lös a, b för oändliga lösningar.

a) Vilka värden på a och b för att ha oändligt många lösningar?
b) Vilka värden på a och b för att inte ha någon lösning alls?
ivano_eai skrev:
a) Vilka värden på a och b för att ha oändligt många lösningar?
b) Vilka värden på a och b för att inte ha någon lösning alls?
Hur långt har du kommit på uppgiften? Vet du vad som krävs för att ett ekvationssystem skall ha oändligt många lösningar?
Nej, det är problemet. förstår inte riktigt hur jag ska ta mig till vägo
Ekvationerna beskriver båda varsin rät linje, ety det är räta linjens ekvation.
Vad krävs det för att två raka linjer skall korsa varandra noll gånger?