Ekvation lösning- icke för imäginär tal
Hej! Jag vet inte hur ska man lösa denna ekvation har försökt men kommer inte fram till om likheten gäller. Tycker det är svårt när man uttrycket det som im(z) & re(z) istället för a & bi. Kan man lösa & räkna med a & b istället och sedan kolla i ekvationen? utvecklade VL. & stryckit z^2 pga finns i VL & HL.
Förstår inte riktigt skillnaden mellan (z0)^2 & |z0|^2 går de också att strycka med VL precis som z^2 pga finns i VL & HL?


Maddefoppa skrev:... när man uttrycket det som im(z) & re(z) istället för a & bi. ...
Det är exakt samma sak.
Re(z) är a.
Im(z) är b. ( Inte b*i )
Jo men det är jag med på men var lite osäker på om man kan ursätta det i utrycker. Då borde..
z: a+ bi= Re(z) + Im (z)
z-: a- bi= Re(z) - Im (z)
z=: a+ bi= Re(z) + Im (z)
men blir lite förvirrad vad man menar med z0 & re(z0)?
Jag skrev extra tydligt att Im(z) inte är b*i.
Aha okej som man ersätter det istället enligt
a+ b= Re(z) + Im (z)
z-: a- b= Re(z) - Im (z)
z=: a+ b= Re(z) + Im (z)
Nej, det gäller att
z = a + bi = Re(z) + i*Im(z)
Okej
z: a+ b•i= Re(z) + Im (z)•i
z-: a- b•i= Re(z) - Im (z)•i
z=: a+ b•i= Re(z) + Im (z)•i
?
Förstår fortfarande inte riktigt vad som menas med z0?
Maddefoppa skrev:Förstår fortfarande inte riktigt vad som menas med z0?
Jag antar att det är e-uppgiften du jobbar med. Där står det att och är komplexa tal.
Om vi t.ex. sätter så får vi att och
Det betyder att
Tack för förtydligandet:) Vart kommer - tecknet vid -b02 från?
bara jag som tänker att för 1:a kvadrereingsregel blir det + i sista x^2 termen?
(ib)^2=(i)^2b^2=-1*b^2
Maddefoppa skrev:bara jag som tänker att för 1:a kvadrereingsregel blir det + i sista x^2 termen?
Kom ihåg att , den imaginära enheten, definieras som roten ur -1 så att:
Försökt arbeta mig vidare men fastnat lite nu

Det här stämmer inte:

Där det är gulmarkerat ska det stå , vilket är lika med , inte
===
Förklaring: Om så är
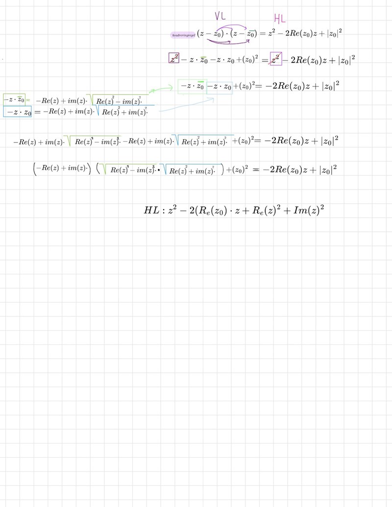
aha så då tar också absolut beloppet på HL uts eftersom z0• z0- finns på VL?
så det som blir kvar efter -z2 & |z|2 tagits bort blir
VL: -(z 0•z 0 -)-(z•z0 )
HL: -2a • z0•z
Absolut belopet oavsett om det är konjugatet eller z. Blir så alltid längden densamma förutom att de har olika platser i komplexa talplanet.
Maddefoppa skrev:så det som blir kvar efter -z2 & |z|2 tagits bort blir
VL: -(z 0•z 0 -)-(z•z0 )
HL: -2a • z0•z
Nej.
Ekvationen blir
Efter subtraktion av och får vi
Fortsätt nu att fundera på om du kan skriva om på något sätt.
Rita eller använd att och
VL är jag med på i och med att -z är gemmensam faktor i båda termen. Men HL hänger jag inte med på hur får du(z0)^2?
Jag skrev fel. HL ska vara -2•Re(z0)•z
Ja men precis det var det jag tänkte också:)
OK bra. Kommer du vidare då?
Yes! Lyckades lösa det:) Tack för hjälpen