9
svar
254
visningar
Ekvation med bråk
Hej! Skulle någon kunna hjälpa mig med denna uppgift? jag fattar inte hur man ska göra när det är bråk i ekvationen.
Multiplicera allt med 7. Multiplicera sedan allt med 4.
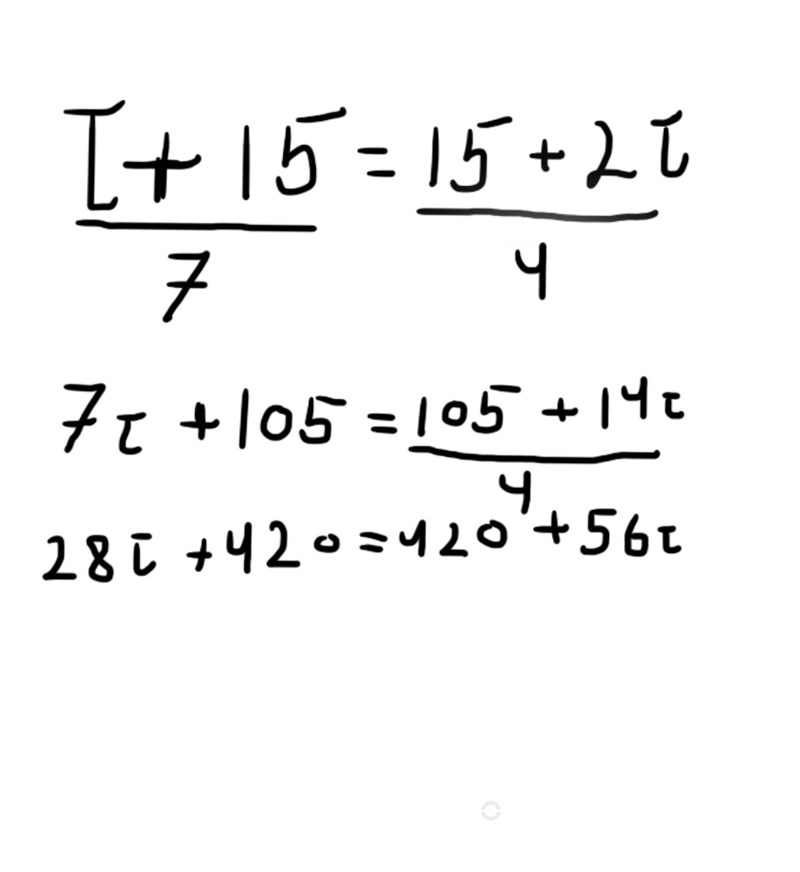
Menar du så här?
vet du kryss metoden
okej det du gör är att du multiplicerar täljaren t+ 15 med 4 och sen lägger du likhetstecken och multiplicerar 7 med 15-2t och sen räknar du ut det som en ekvation
så du menar att ekvationen kommer bli 4t+60=107-14t
ja exakt
Ok, tack för hjälpen
inga problem