Ekvation med bråktal och x i båda leden
Hej, har förstått att det ska bli två svar. Vilken metod ska jag använda? Tacksam för hjälp
Multiplicera med (4x+2) på båda sidor och få över alla termer på ena sidan så det blir ett uttryck=0 sen kan du lösa med pq-formeln
Engineering skrev:Multiplicera med (4x+2) på båda sidor och få över alla termer på ena sidan så det blir ett uttryck=0 sen kan du lösa med pq-formeln
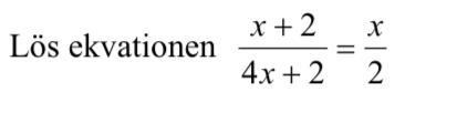
Tack, är det rätt en så länge ? Klurar nu på hur jag går till pq-formeln 
Nej, det är inte rätt. Du glömmer att multiplicera x/2 med 2 när du tar bort parentesen.
Du får betydligt enklare beräkningar om du börjar med att bryta ut faktorn 2 ur VL:s nämnare. Då kan du förkorta bort den.
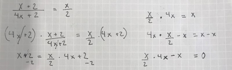
Tack! Har gjort såhär nu? När jag multiplicerar x/2 med här då 4x . Blir det rätt då att förkorta talen med största gemensamma delaren 2? 
du kan inte förkorta på det sättet.
Testa själv med t.ex x=1 eller x=2 eller nåt.
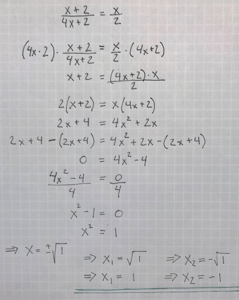
Du var inne på rätt väg först:
multiplicera med (4x+2) på båda sidor
multiplicera med 2 på bägge sidor
Kommer du vidare?
Efter lite mer plugg så tror jag att jag har fått rätt. tack Jaculator , Smaragdalena och engineering.